Views: 0 Author: Site Editor Publish Time: 2025-09-04 Origin: Site
In the field of precision motion control, the stepper motor is one of the most widely used and reliable devices. It bridges the gap between simple electrical signals and accurate mechanical movements, making it a crucial component in automation, robotics, CNC machinery, and medical devices. Unlike conventional motors, stepper motors move in discrete steps, enabling precise positioning without the need for complex feedback systems.
A stepper motor is an electromechanical device that converts electrical pulses into mechanical rotation. Instead of rotating continuously like a standard DC motor, it moves in fixed angular steps. Each input pulse results in a movement of the rotor by a predefined angle, allowing accurate control of position, speed, and direction.
Because of this open-loop control system, stepper motors are ideal for applications requiring precision positioning without using feedback sensors.
A stepper motor is an electromechanical device designed to convert electrical pulses into precise mechanical rotation. To achieve this, it is built from several essential components that work together to provide accurate step-by-step movement. Below are the key components of stepper motors and their roles:
The stator is the stationary part of the motor. It consists of laminated steel cores with multiple electromagnetic coils (windings) wound around them. When current flows through these windings, they generate magnetic fields that attract or repel the rotor, creating motion.
Houses the phases (two-phase, three-phase, or more).
Determines the motor's torque and step resolution.
The rotor is the rotating part of the stepper motor. Depending on the type of stepper motor, the rotor can be:
Permanent Magnet Rotor – with built-in north and south poles.
Variable Reluctance Rotor – made of soft iron without permanent magnets.
Hybrid Rotor – a combination of permanent magnet and toothed design for high precision.
The rotor aligns with the magnetic fields generated in the stator to create controlled rotation.
The shaft is attached to the rotor and extends outside the motor casing. It transfers the motor's rotational movement to external components such as gears, pulleys, or directly to the application mechanism.
Bearings are placed at both ends of the shaft to ensure smooth, frictionless rotation. They support the shaft mechanically, reduce wear and tear, and enhance the motor's lifespan.
The frame or housing encloses and supports all internal components of the stepper motor. It provides structural stability, protects against dust and external damage, and helps with heat dissipation during operation.
End covers are mounted at both ends of the motor frame. They hold the bearings in place and often have provisions for mounting flanges or connection points for external systems.
The windings, made of insulated copper wire, are wrapped around the stator poles. When energized in a controlled sequence, they generate the changing magnetic fields required for the rotor to move step by step.
Their configuration (unipolar or bipolar) defines the driving method of the motor.
These are the external electrical connections that deliver current from the stepper driver to the stator windings. The number of wires (4, 5, 6, or 8) depends on the motor design and configuration.
Permanent magnets are included in certain types of stepper motors to create fixed magnetic poles inside the rotor. This enhances holding torque and positioning accuracy.
Electrical insulation is applied around the windings and internal parts to prevent short circuits, current leakage, and overheating.
The core components of a stepper motor are the stator, rotor, shaft, bearings, windings, frame, and connectors, with variations depending on whether it is a Permanent Magnet (PM), Variable Reluctance (VR), or Hybrid stepper motor. Together, these components allow the stepper motor to perform precise movements, making it ideal for robotics, CNC machines, 3D printers, and medical devices.
Stepper motors come in different designs, each suited to specific applications. The main types of stepper motors are classified based on rotor construction, winding configuration, and control method. Below is a detailed overview:
Uses a permanent magnet rotor with distinct north and south poles.
The stator has wound electromagnets that interact with the rotor's poles.
Provides good torque at low speeds.
Simple and cost-effective design.
Common Applications: Printers, toys, office equipment, and low-cost automation systems.
Rotor is made of soft iron with no permanent magnets.
Works on the principle of minimum reluctance – the rotor aligns with the stator pole with the least magnetic resistance.
Has fast response but relatively low torque.
Common Applications: Light-load positioning systems and low-cost industrial machinery.
Combines the features of Permanent Magnet and Variable Reluctance designs.
Rotor has a toothed structure with a permanent magnet in the middle.
Offers high torque, better step accuracy, and efficiency.
Typical step angle: 1.8° (200 steps per revolution) or 0.9° (400 steps per revolution).
Common Applications: CNC machines, robotics, 3D printers, medical equipment.
Has center-tapped windings that allow current to flow in only one direction at a time.
Requires five or six wires for operation.
Easier to control with simpler driver circuits.
Produces less torque compared to bipolar motors.
Common Applications: Hobby electronics, low-power motion control systems.
Windings do not have a center tap, requiring H-bridge circuits for bidirectional current flow.
Provides higher torque output compared to unipolar motors of the same size.
Requires four wires for operation.
More complex control electronics but more efficient.
Common Applications: Industrial machines, robotics, CNC, and automotive systems.
Equipped with feedback devices (encoders or sensors).
Corrects for missed steps and ensures accurate positioning.
Combines the simplicity of stepper control with reliability similar to servo systems.
Common Applications: Robotics, packaging machinery, and automation systems requiring high accuracy.
Linear Stepper Motor – Converts rotary motion into linear motion directly. Used in precision linear actuators.
Stepper Motor with Gearbox – Integrated with gear reduction to increase torque and resolution.
High-Torque Stepper Motor – Designed with optimized windings and construction for heavy-load applications.
The main types of stepper motors are:
Permanent Magnet (PM) – economical, low-torque, simple applications.
Variable Reluctance (VR) – fast response, lower torque, simple design.
Hybrid (HB) – high accuracy, high torque, widely used.
Unipolar & Bipolar – classified by winding configuration.
Closed-Loop – precise, feedback-controlled stepper.
Each type has its own strengths and limitations, making stepper motors versatile for applications in automation, robotics, CNC machinery, medical devices, and office equipment.
A Permanent Magnet Stepper Motor (PM Stepper) is a type of stepper motor that uses a permanent magnet rotor and a wound stator. Unlike variable reluctance stepper motors, the rotor in a PM stepper has permanent magnetic poles, which interact with the stator's electromagnetic field to produce precise rotational steps. This design makes the motor capable of generating higher torque at low speeds compared to other stepper types.
PM steppers are known for their simplicity, reliability, and cost-effectiveness. They typically operate with step angles ranging from 7.5° to 15°, which provides moderate accuracy for positioning applications. Since they do not require brushes or feedback systems, these motors are low-maintenance and have long service lives, though their resolution is not as fine as hybrid stepper motors.
In practical use, permanent magnet stepper motors are widely applied in printers, small robotics, medical devices, and consumer electronics. They are especially useful in applications where precise but moderate control is required, without the need for complex control systems. Their balance of affordability, torque, and simplicity makes them a popular choice for entry-level motion control solutions.
A Variable Reluctance Stepper Motor (VR Stepper) is a type of stepper motor that uses a soft iron, non-magnetized rotor with multiple teeth. The stator has several coils that are energized in sequence, creating a magnetic field that pulls the nearest rotor teeth into alignment. Each time the stator field shifts, the rotor moves to the next stable position, producing a precise step. Unlike permanent magnet steppers, the rotor itself does not contain magnets.
VR steppers are valued for their very small step angles, often as low as 1.8° or even smaller, which allows for high-resolution positioning. They are also lightweight and inexpensive to manufacture since no permanent magnets are required. However, they generally produce lower torque compared to permanent magnet and hybrid stepper motors, and their operation can be less smooth at low speeds.
In real-world applications, variable reluctance stepper motors are commonly found in printers, instrumentation, robotics, and light-duty positioning systems. They are especially useful where fine angular resolution is more important than torque output. Because of their simple construction and precise step capability, VR steppers remain a practical solution for cost-sensitive designs that demand accuracy in motion control.

A Hybrid Stepper Motor (HB Stepper) combines the advantages of both Permanent Magnet (PM) and Variable Reluctance (VR) stepper motors. Its rotor has a permanent magnet core with toothed structures, while the stator also contains teeth aligned to match the rotor. This design allows the rotor to be strongly attracted to the stator's electromagnetic field, resulting in both higher torque and finer step resolution compared to PM or VR steppers alone.
HB steppers typically offer step angles of 0.9° to 3.6°, which makes them highly precise for positioning applications. They also provide smoother motion and better torque at higher speeds than PM steppers, while maintaining good accuracy. Although they are more complex and expensive to manufacture, their performance balance between torque, speed, and resolution makes them one of the most widely used stepper motor types.
In practice, hybrid stepper motors are used in CNC machines, 3D printers, robotics, medical equipment, and industrial automation systems. Their reliability, efficiency, and versatility make them ideal for demanding applications where precise control and consistent performance are critical. This is why HB steppers are often considered the industry standard for stepper motor technology.
A Bipolar Stepper Motor is a type of stepper motor that uses a single winding per phase, with current flowing in both directions through the coils. To achieve this bidirectional current, an H-bridge driver circuit is required, making the control slightly more complex compared to unipolar stepper motors. This design eliminates the need for center-tapped windings, which allows the entire coil to be utilized for torque generation.
Because the full winding is always engaged, bipolar stepper motors deliver higher torque output and better efficiency than unipolar steppers of the same size. They also tend to have smoother motion and improved performance at higher speeds, making them suitable for applications that require more demanding motion control. However, the trade-off is the increased complexity in the driving electronics.
In real-world use, bipolar stepper motors are widely applied in CNC machines, 3D printers, robotics, and industrial automation systems. Their ability to provide strong torque and reliable performance makes them the preferred choice in precision systems where power and smooth operation are essential. Despite the need for more advanced drivers, their performance benefits often outweigh the added complexity.

A Unipolar Stepper Motor is a type of stepper motor that has a center tap on each winding, effectively splitting the coil into two halves. By energizing one half of the winding at a time, the current always flows in a single direction (hence the name "unipolar"). This simplifies the driving electronics since it does not require current reversal or H-bridge circuits, making unipolar motors easier to control.
The trade-off of this design is that only half of each coil is used at a time, which means lower torque output and efficiency compared to bipolar stepper motors of the same size. However, the simpler control circuitry and reduced risk of coil overheating make unipolar steppers popular in applications where cost, simplicity, and reliability matter more than maximum torque.
In practice, unipolar stepper motors are commonly used in printers, scanners, small robotics, and hobbyist electronics projects. They are especially well-suited for low- to medium-power applications where straightforward control and predictable step movement are needed. Despite their torque limitations, their simplicity and affordability make them a good choice for many entry-level motion control systems.
A Closed-Loop Stepper Motor is a stepper motor system equipped with a feedback device, such as an encoder or sensor, that continuously monitors the motor's position and speed. Unlike open-loop steppers, which rely only on command pulses, closed-loop systems compare actual motor performance with the commanded input, correcting any errors in real time. This prevents issues such as missed steps and ensures greater reliability.
With the feedback loop in place, closed-loop stepper motors offer higher accuracy, smoother motion, and better torque utilization across a wide speed range. They also run more efficiently since the controller can adjust current dynamically, reducing heat generation compared to open-loop systems. In many ways, they combine the precision of stepper motors with some advantages of servo systems.
Closed-loop stepper motors are widely used in CNC machinery, robotics, packaging equipment, and automation systems where precise positioning and dependable performance are critical. Their ability to eliminate step loss while improving efficiency makes them ideal for demanding applications that require both accuracy and reliability.

Here's a clear comparison table between Bipolar Stepper Motors and Unipolar Stepper Motors:
| Feature | Bipolar Stepper Motor | Unipolar Stepper Motor |
|---|---|---|
| Winding Design | Single winding per phase (no center tap) | Each phase has a center tap (split into two halves) |
| Current Direction | Current flows in both directions (requires reversal) | Current flows in one direction only |
| Driver Requirement | Needs an H-bridge driver for bidirectional current | Simple driver, no H-bridge needed |
| Torque Output | Higher torque, as the full winding is used | Lower torque, since only half winding is used |
| Efficiency | More efficient | Less efficient |
| Smoothness | Smoother motion and better high-speed performance | Less smooth at higher speeds |
| Control Complexity | More complex driving circuitry | Simpler to control |
| Cost | Slightly higher (due to driver requirements) | Lower (simple driver and design) |
| Common Applications | CNC machines, 3D printers, robotics, automation | Printers, scanners, small robotics, hobby projects |
A stepper motor works by converting electrical pulses into controlled mechanical rotation. Unlike conventional motors that spin continuously when power is applied, a stepper motor moves in discrete angular steps. This unique behavior makes it highly suitable for applications where precision, repeatability, and accuracy are essential.
The operation of a Stepper Motor is based on electromagnetism. When current flows through the stator windings, they generate magnetic fields. These fields attract or repel the rotor, which is designed with permanent magnets or soft iron teeth. By energizing the coils in a specific sequence, the rotor is forced to move step by step in synchronization with the input signals.
The stepper driver sends electrical pulses to the motor windings.
Each pulse corresponds to one incremental movement (or "step").
Energized coils in the stator create a magnetic field.
The rotor aligns itself with this magnetic field.
The driver energizes the next set of coils in sequence.
This shifts the magnetic field and pulls the rotor to the new position.
With every input pulse, the rotor moves one step forward.
A continuous stream of pulses causes continuous rotation.
The step angle is the degree of rotation the motor makes per step.
Typical step angles: 0.9° (400 steps per revolution) or 1.8° (200 steps per revolution).
The smaller the step angle, the higher the resolution and accuracy.
Stepper motors are versatile devices that can be driven in different excitation modes, depending on the control signals applied to their windings. Each mode affects the step angle, torque, smoothness, and accuracy of the motor's motion. The most common modes of operation are Full-Step, Half-Step, and Microstepping.
In full-step operation, the motor moves by one full step angle (e.g., 1.8° or 0.9°) for every input pulse. There are two ways to achieve full-step excitation:
Single-Phase Excitation: Only one phase winding is energized at a time.
Advantage: Lower power consumption.
Disadvantage: Lower torque output.
Dual-Phase Excitation: Two adjacent phase windings are energized simultaneously.
Advantage: Higher torque output and better stability.
Disadvantage: Higher power consumption.
Applications: Basic positioning tasks, printers, simple robotics.
In half-step operation, the motor alternates between energizing one phase and two phases at a time. This effectively doubles the resolution by halving the step angle.
Example: A motor with a 1.8° full step will have 0.9° per half-step.
Produces smoother motion compared to full-step mode.
Torque is slightly lower than in full-step dual-phase mode, but higher than single-phase.
Applications: Robotics, CNC machines, and systems needing higher resolution without complex control.
Microstepping is the most advanced excitation mode, where the current in the motor windings is controlled in sinusoidal or finely divided increments. Instead of moving one full or half step at a time, the rotor moves in fractional steps (e.g., 1/8, 1/16, 1/32 of a step).
Provides very smooth rotation with minimal vibration.
Greatly reduces resonance issues.
Increases resolution and positional accuracy.
Requires more advanced drivers and control electronics.
Applications: High-precision applications such as 3D printers, medical devices, optical equipment, and robotics.
Sometimes considered a variation of full-step mode, wave drive energizes only one coil at a time.
Very simple to implement.
Consumes less power.
Produces the lowest torque of all modes.
Applications: Low-torque applications like indicators, dials, or lightweight positioning systems.
| Mode | Step Size | Torque | Smoothness | Power Use |
|---|---|---|---|---|
| Wave Drive | Full step | Low | Moderate | Low |
| Full-Step | Full step | Medium to High | Moderate | Medium to High |
| Half-Step | Half step | Medium | Better than full | Medium |
| Microstepping | Fractional | Variable (lower peak but smoother) | Excellent | High (depends on driver) |
The mode of operation chosen for a stepper motor depends on the application requirements:
Use Wave Drive or Full-Step for simple, low-cost systems.
Use Half-Step when higher resolution is needed without complex electronics.
Use Microstepping for the highest precision, smoothness, and professional-grade applications.
The performance and control of a stepper motor largely depend on how its windings (coils) are arranged and connected. The configuration determines the number of wires, the driving method, and the torque/speed characteristics. The two main winding configurations are Unipolar and Bipolar, but variations exist depending on the motor design.
Structure: Each phase winding has a center tap that divides it into two halves.
Wiring: Typically comes with 5, 6, or 8 wires.
Operation: Current flows through only half of the winding at a time, always in the same direction (hence the name unipolar). The driver switches current between halves of the coil.
Simple driving circuitry.
Easier to control.
Only half of the winding is used at a time → lower torque compared to bipolar motors of the same size.
Applications: Low-power electronics, printers, and simple automation systems.
Structure: Each phase has a single continuous winding without a center tap.
Wiring: Typically comes with 4 wires (two per phase).
Operation: Current must flow in both directions through the coils, which requires an H-bridge driver. Both halves of the coil are always utilized, providing stronger performance.
Delivers higher torque output than unipolar.
More efficient winding utilization.
Requires a more complex driver circuit.
Applications: CNC machines, robotics, 3D printers, and industrial machinery.
Usually a unipolar motor with all center taps internally connected to one wire.
Simple wiring but less flexible.
Common in cost-sensitive applications like small printers or office equipment.
A unipolar motor with separate center taps for each winding.
Can be used in unipolar mode (with all 6 wires) or rewired as a bipolar motor (by ignoring the center taps).
Offers flexibility depending on the driver system.
The most versatile configuration.
Each winding is split into two separate coils, giving multiple wiring options:
Unipolar connection
Bipolar series connection (higher torque, lower speed)
Bipolar parallel connection (higher speed, lower inductance)
Advantage: Provides the best flexibility in torque-speed tradeoff.
| Configuration | Wires | Driver Complexity | Torque Output | Flexibility |
|---|---|---|---|---|
| Unipolar | 5 or 6 | Simple | Medium | Low to Medium |
| Bipolar | 4 | Complex (H-Bridge) | High | Medium |
| 6-Wire | 6 | Medium | Medium-High | Medium |
| 8-Wire | 8 | Complex | Very High | Very High |
The winding configuration of a stepper motor directly impacts its performance, control method, and application range:
Unipolar motors are simpler but provide less torque.
Bipolar motors are more powerful and efficient but need more advanced drivers.
6-wire and 8-wire motors offer flexibility to adapt to different driver systems and performance needs.
Stepper Motors are widely used for precise motion control, and their performance can be calculated using a few essential formulas. These equations help engineers determine step angle, resolution, speed, and torque.
The step angle is the angle the motor shaft rotates for each input pulse.

Where:
θs = Step angle (degrees per step)
Ns = Number of stator phases (or winding poles)
m = Number of rotor teeth
Example:
For a motor with 4 stator phases and 50 rotor teeth:

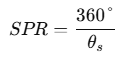
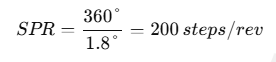
The number of steps the motor takes for one complete shaft rotation:

Where:
SPR = Steps per revolution
θs = Step angle
Example:
If step angle = 1.8°:

Resolution is the smallest movement a Stepper Motor can make per step.

If the motor drives a lead screw or belt system:

Where:
Lead = Linear travel per revolution of the screw or pulley (mm/rev).
The speed of a stepper motor depends on the pulse frequency applied:

Where:
N = Speed in RPM
f = Pulse frequency (Hz or pulses/sec)
SPR = Steps per revolution
Example:
If pulse frequency = 1000 Hz, SPR = 200:

The required pulse frequency to run the motor at a given speed:

Where:
f = Frequency (Hz)
N = Speed in RPM
SPR = Steps per revolution
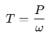
Torque depends on motor current and winding characteristics. A simplified expression:

Where:
T = Torque (Nm)
P = Power (W)
ω = Angular speed (rad/s)
Angular speed:


Where:
P = Electrical power input (W)
V = Voltage applied to windings (V)
I = Current per phase (A)
Stepper motors have become a cornerstone of modern motion control systems, offering unmatched precision, repeatability, and reliability across a wide range of industries. Unlike conventional DC or AC motors, stepper motors are designed to move in discrete steps, making them the ideal choice for applications where controlled positioning is critical.
Below, we explore the key advantages of Stepper Motors in detail.
One of the most notable advantages of stepper motors is their ability to achieve accurate positioning without requiring a feedback system. Each input pulse corresponds to a fixed angular rotation, allowing precise control over shaft movement.
No encoder or sensor required in basic open-loop systems.
Excellent repeatability in applications such as CNC machines, 3D printers, and robotics.
Step angles as fine as 0.9° or 1.8°, enabling thousands of steps per revolution.
Stepper motors excel in applications where repeated, identical movements are essential. Once programmed, they can reproduce the same path or motion consistently.
Perfect for pick-and-place machines.
Essential in medical devices, semiconductor equipment, and textile machines.
High repeatability reduces errors in automated manufacturing processes.
Stepper Motors operate effectively in open-loop control systems, which eliminates the need for costly feedback devices.
Simplified electronics compared to servo motors.
Lower overall system cost.
Ideal for budget-sensitive automation solutions without compromising reliability.
When input pulses are applied, stepper motors respond instantly, accelerating, decelerating, or reversing direction without delays.
Quick response enables real-time control.
High synchronization with digital control signals.
Used extensively in robotic arms, automated inspection, and camera positioning systems.
Stepper motors have no brushes or contact components, which greatly reduces wear and tear. Their design contributes to:
Long operational life with minimal maintenance.
High reliability in industrial environments.
Smooth performance in continuous operations.
Unlike many conventional motors, Stepper Motors deliver maximum torque at low speeds. This feature makes them extremely effective for applications requiring slow and powerful movement.
Suitable for precision machining and feeding mechanisms.
Eliminates the need for complex gear reduction in some systems.
Reliable torque even at zero speed (holding torque).
When energized, stepper motors can hold their position firmly, even without motion. This feature is particularly valuable for applications requiring stable positioning under load.
Essential for elevators, medical infusion pumps, and 3D printer extruders.
Prevents mechanical drift without continuous motion.
Stepper motors can be operated across a broad spectrum of speeds, from very low RPM to high-speed rotations, with consistent performance.
Suitable for scanning devices, conveyors, and textile equipment.
Maintains efficiency across varying workloads.
Since Stepper Motors are driven by pulses, they integrate seamlessly with microcontrollers, PLCs, and computer-based control systems.
Easy interfacing with Arduino, Raspberry Pi, and industrial controllers.
Direct compatibility with modern automation technologies.
Compared to other motion control solutions, such as servo systems, stepper motors offer a cost-effective balance of precision, reliability, and simplicity.
Reduced need for encoders or feedback devices.
Lower maintenance and installation costs.
Accessible for both small-scale and industrial-scale applications.
The advantages of stepper motors—including precise positioning, open-loop operation, excellent repeatability, and high reliability—make them a preferred choice for industries requiring controlled motion. From robotics and automation to medical and textile machinery, their ability to provide accurate, reliable, and cost-effective performance ensures stepper motors remain indispensable in modern engineering.
Stepper motors are widely used in various applications due to their precise control and reliability. However, despite their advantages, stepper motors come with a range of disadvantages that engineers, designers, and technicians must carefully consider when selecting them for projects. Understanding these limitations is critical for ensuring optimal performance and avoiding potential failures in both industrial and consumer applications.
One of the most significant disadvantages of a Stepper Motor is its reduced torque at high speeds. Stepper motors operate by incrementally moving through steps, and as the speed of operation increases, the torque drops considerably. This phenomenon is a result of the motor's inherent inductance and back EMF, which restrict the current flow through the windings at higher rotational speeds. Consequently, applications that require high-speed rotation while maintaining consistent torque may find stepper motors unsuitable, often necessitating the use of servo motors or geared systems to compensate for this limitation.
Stepper motors are prone to resonance and vibration, especially at certain speeds where mechanical resonance aligns with the step frequency. This can lead to loss of steps, unwanted noise, and even potential damage to the motor or connected components. Resonance can become particularly problematic in applications demanding smooth motion, such as CNC machines, 3D printers, and robotic arms, where precision is paramount. Mitigating these vibrations often requires microstepping, damping mechanisms, or careful selection of operating speeds, adding complexity and cost to the overall system.
When compared to DC motors or brushless motors, stepper motors exhibit lower energy efficiency. They consume a continuous current even when stationary to maintain holding torque, which results in constant power draw. This continuous energy consumption can lead to higher heat generation, necessitating additional cooling solutions. In battery-powered or energy-sensitive applications, this inefficiency can significantly reduce operational time or increase operational costs. Moreover, the constant power usage may also contribute to accelerated wear on driver electronics, further impacting system longevity.
Stepper motors have a restricted operational speed range. While they excel at low-speed precision applications, their performance rapidly declines at higher RPMs due to torque reduction and increased step skipping. For industries that require both high-speed and high-precision motion, such as automated assembly lines or textile machinery, stepper motors may not provide the versatility needed. This limitation often forces engineers to consider hybrid solutions, combining stepper and servo technologies, which can increase system complexity and costs.
Continuous current flow in Stepper Motors leads to substantial heat generation. Without adequate cooling, the motor windings can reach temperatures that degrade insulation, reduce torque output, and ultimately shorten motor lifespan. Effective thermal management is essential, especially in compact or enclosed installations where heat dissipation is limited. Techniques such as heatsinks, forced air cooling, or reduced duty cycles are often necessary to mitigate overheating risks, adding additional design considerations for engineers.
Although stepper motors are known for precise position control, they can lose steps under excessive load or mechanical stress. Unlike closed-loop systems, standard stepper motors do not provide feedback on actual rotor position. Consequently, any step loss can go undetected, leading to inaccurate positioning and operational errors. This drawback is critical in high-precision applications like medical devices, laboratory equipment, and CNC machining, where even a minor positional deviation can compromise functionality or safety.
Stepper motors often produce audible noise and vibration due to the stepping nature of their movement. This can be problematic in environments requiring quiet operation, such as offices, laboratories, or medical facilities. Noise levels increase with speed and load, and mitigating these issues typically requires microstepping drivers or advanced control algorithms, further complicating system design.
While Stepper Motors provide reasonable torque at low speeds, the torque can exhibit significant ripple if operated without microstepping. Torque ripple refers to the fluctuations in torque during each step, which can produce jerky motion and reduce smoothness. This is especially noticeable in applications requiring fluid motion, such as camera sliders, robotic manipulators, and precision instruments. Achieving smoother motion generally requires complex driving techniques, increasing both system cost and control complexity.
Increasing torque in stepper motors typically necessitates larger motor sizes or higher current ratings. This can pose space constraints in compact applications like 3D printers, small robotics, or portable devices, where space and weight are critical. Moreover, higher current requirements also demand more robust drivers and power supplies, potentially increasing the overall footprint and cost of the system.
Stepper motors struggle with high inertia loads, where rapid acceleration or deceleration is required. Excessive inertia can cause step skipping or stalling, compromising the reliability of motion control. For heavy-duty industrial machinery or applications with variable load conditions, stepper motors may be less reliable than servo solutions, which offer closed-loop feedback to adjust torque dynamically and maintain precise control.
Although Stepper Motors themselves are relatively inexpensive, driver electronics can be complex and costly, particularly when advanced control techniques like microstepping or current limiting are implemented. These drivers are essential to maximize performance, reduce vibration, and prevent overheating. The need for sophisticated drivers adds to system cost, design complexity, and maintenance requirements, making stepper motors less appealing for cost-sensitive or simplified applications.
While stepper motors are invaluable for low-speed, high-precision applications, their disadvantages—including limited high-speed torque, resonance issues, heat generation, noise, and potential for missed steps—must be carefully considered. Choosing a stepper motor requires balancing its precision advantages with operational limitations. By understanding these constraints, engineers can implement appropriate control strategies, cooling solutions, and load management techniques to optimize performance and reliability in demanding applications.
Stepper motors are renowned for their precision, reliability, and ease of control in numerous industrial and consumer applications. However, their performance and efficiency are heavily dependent on the driver technology used to operate them. Stepper motor drivers are specialized electronic devices that control current, voltage, stepping mode, and rotation speed. Understanding driver technology is crucial for achieving optimal performance, extended motor lifespan, and smooth operation.
A stepper motor driver functions as the interface between the control system and the stepper motor. It receives step and direction signals from a controller or microcontroller and converts them into precise current pulses that energize the motor windings. Drivers play a vital role in managing torque, speed, position accuracy, and heat dissipation, which are critical in applications such as CNC machines, 3D printers, robotics, and automation systems.
Modern stepper motor drivers primarily use two types of control schemes: unipolar drivers and bipolar drivers. While unipolar drivers are simpler and easier to implement, bipolar drivers offer higher torque and more efficient operation. The choice of driver affects the stepper motor's performance, precision, and energy consumption.
L/R drivers are the simplest type of stepper motor drivers. They apply a fixed voltage to the motor windings and rely on the inductance (L) and resistance (R) of the windings to control current rise. While inexpensive and easy to implement, these drivers have limited high-speed performance because the current cannot rise quickly enough at higher step rates. L/R drivers are suitable for low-speed, low-cost applications but are not ideal for high-performance or high-precision systems.
Chopper drivers are more sophisticated and widely used in modern applications. They regulate the current through the motor windings, maintaining a constant current regardless of voltage fluctuations or motor speed. By rapidly switching the voltage on and off (pulse-width modulation), chopper drivers can achieve high torque even at high speeds and reduce heat generation. Features of chopper drivers include:
Microstepping capability: Enables smoother motion and reduces vibration.
Overcurrent protection: Prevents motor damage due to excessive load.
Adjustable current settings: Optimizes power usage and reduces heating.
Microstepping drivers divide each full step of the motor into smaller, discrete steps, typically 8, 16, 32, or even 256 microsteps per full rotation. This approach provides smoother motion, reduced vibration, and higher positional resolution. Microstepping drivers are particularly beneficial in applications requiring ultra-precise movement, such as optical instruments, robotic arms, and medical equipment. While microstepping enhances performance, it requires more advanced driver electronics and higher-quality control signals.
Integrated drivers combine the driver electronics and control circuitry within a single compact module, simplifying installation and reducing wiring complexity. These drivers often include:
Built-in current control and overheat protection
Pulse input for step and direction signals
Microstepping support for precision control
Integrated drivers are ideal for space-constrained applications or projects where ease of installation and reduced external components are priorities.
Intelligent stepper drivers use feedback systems such as encoders to monitor motor position and speed, creating a closed-loop control system. These drivers combine the simplicity of a stepper motor with the accuracy of a servo motor, allowing error detection, automatic correction, and improved torque utilization. Advantages include:
Elimination of missed steps
Dynamic torque adjustment based on load
Enhanced reliability in high-precision applications
Intelligent drivers are especially useful in industrial automation, robotics, and CNC applications where reliability and accuracy are critical.
Modern stepper motor drivers offer a range of features that enhance performance, efficiency, and user control. Some of the most important features include:
Current Limiting: Prevents overheating and ensures optimal torque output.
Step Interpolation: Smooths motion between steps to reduce vibration and noise.
Overvoltage and Undervoltage Protection: Safeguards the motor and driver electronics.
Thermal Management: Monitors temperature and reduces current if overheating occurs.
Programmable Acceleration/Deceleration Profiles: Provides precise control over motor ramping for smoother operation.
Selecting the appropriate driver requires consideration of load characteristics, precision requirements, operating speed, and environmental conditions. Key factors to consider include:
Torque and speed requirements: High-speed applications require chopper or microstepping drivers.
Precision and smoothness: Microstepping or intelligent drivers enhance positional accuracy and motion smoothness.
Thermal limitations: Drivers with effective heat management extend motor and driver lifespan.
Integration and space constraints: Integrated drivers reduce wiring complexity and save space.
Feedback necessity: Closed-loop drivers are ideal for applications requiring error detection and correction.
By carefully evaluating these factors, engineers can maximize stepper motor performance, reduce energy consumption, and improve reliability across a wide range of applications.
Stepper motor driver technology has evolved significantly, moving from simple L/R drivers to intelligent closed-loop systems capable of handling complex motion requirements. The choice of driver directly impacts torque, speed, precision, and thermal performance, making it one of the most critical aspects of stepper motor applications. Understanding driver types, features, and their appropriate use allows engineers to optimize stepper motor systems for efficiency, reliability, and long-term performance.
Stepper motors are essential components in modern automation, robotics, CNC machinery, 3D printing, and precision equipment. While stepper motors provide accurate, repeatable motion, their performance, efficiency, and longevity depend heavily on accessories that enhance their functionality and adaptability. From drivers and encoders to gearboxes and cooling solutions, understanding these accessories is vital for designing robust and reliable systems.
stepper motor drivers and controllers are the backbone of motor operation. They convert input signals from a controller or microcontroller into precise current pulses that drive the motor windings. Key types include:
Microstepping Drivers: Divide each full step into smaller increments for smooth, vibration-free motion.
Chopper (Constant Current) Drivers: Maintain consistent torque at varying speeds while reducing heat generation.
Integrated or Intelligent Drivers: Offer closed-loop feedback for error correction and enhanced accuracy.
Drivers allow precise control over speed, acceleration, torque, and direction, making them essential for both simple and complex stepper motor applications.
Encoders provide positional feedback to stepper motor systems, converting open-loop motors into closed-loop systems. Benefits include:
Error Detection: Prevents missed steps and positional drift.
Torque Optimization: Adjusts current in real-time according to load requirements.
High-Precision Control: Critical for robotics, CNC machines, and medical devices.
Common encoder types are incremental encoders, which track relative movement, and absolute encoders, which provide exact positional data.
Gearboxes, or gearheads, modify speed and torque to match application requirements. Types include:
Planetary Gearboxes: High torque density and compact design for robotic joints and CNC axes.
Harmonic Drive Gearboxes: Zero-backlash precision ideal for robotics and medical equipment.
Spur and Helical Gearboxes: Cost-effective solutions for light to moderate loads.
Gearboxes improve load-handling capability, reduce step errors, and enable slower, controlled motion without sacrificing motor efficiency.
Brakes enhance safety and load control, particularly in vertical or high-inertia systems. Types include:
Electromagnetic Brakes: Engage or release with applied power, enabling rapid stops.
Spring-Applied Brakes: Fail-safe design that holds loads when power is lost.
Friction Brakes: Simple mechanical solution for moderate load applications.
Brakes ensure emergency stopping, position holding, and safety compliance in automated systems.
Couplings connect the motor shaft to driven components like lead screws or gears while accommodating misalignment and vibration. Common types:
Flexible Couplings: Absorb angular, parallel, and axial misalignment.
Rigid Couplings: Offer direct torque transfer for perfectly aligned shafts.
Beam or Helical Couplings: Minimize backlash while maintaining torque transmission.
Proper coupling reduces wear, vibration, and mechanical stress, enhancing system longevity.
Secure mounting ensures stability, alignment, and consistent operation. Components include:
Brackets and Flanges: Provide fixed attachment points.
Clamps and Screws: Ensure vibration-free installation.
Vibration Isolation Mounts: Reduce noise and mechanical resonance.
Reliable mounting maintains precision motion, preventing step loss and misalignment in high-load or high-speed applications.
Stepper motors and drivers generate heat under load, making cooling essential. Options include:
Heat Sinks: Dissipate heat from motor or driver surfaces.
Cooling Fans: Provide forced airflow for temperature control.
Thermal Pads and Compounds: Improve heat transfer efficiency.
Effective thermal management prevents overheating, torque loss, and insulation degradation, extending motor life.
A stable power source is crucial for Stepper Motor performance. Features of effective power supplies include:
Voltage and Current Regulation: Ensures consistent torque and speed.
Overcurrent Protection: Prevents motor or driver damage.
Compatibility with Drivers: Matching ratings ensures optimal performance.
Switching power supplies are common for efficiency, while linear power supplies may be preferred for low-noise applications.
Sensors and limit switches enhance safety, precision, and automation. Applications include:
Mechanical Switches: Detect travel limits or home positions.
Optical Sensors: Provide high-resolution, non-contact detection.
Magnetic Sensors: Operate reliably in harsh, dusty, or humid environments.
They prevent overtravel, collisions, and positioning errors, crucial in CNC, 3D printing, and robotic systems.
High-quality cabling ensures reliable power and signal transmission. Considerations include:
Shielded Cables: Reduce electromagnetic interference (EMI).
Durable Connectors: Maintain stable connections under vibration.
Appropriate Wire Gauge: Handles required current without overheating.
Proper cabling minimizes signal loss, noise, and unexpected downtime.
Enclosures protect stepper motors and accessories from environmental hazards such as dust, moisture, and debris. Benefits include:
Enhanced Durability: Prolongs motor and driver lifespan.
Safety: Prevents accidental contact with moving components.
Environmental Control: Maintains temperature and humidity levels for sensitive applications.
IP-rated enclosures are commonly used in industrial and outdoor installations.
A comprehensive Stepper Motor system relies not only on the motor itself but also on drivers, encoders, gearboxes, brakes, couplings, mounting hardware, cooling solutions, power supplies, sensors, cabling, and enclosures. Each accessory enhances performance, precision, safety, and durability, ensuring the system operates reliably under a wide range of conditions. Selecting the right combination of accessories allows engineers to maximize efficiency, maintain accuracy, and extend the operational life of stepper motor systems across diverse industries.
Stepper motors are widely used in automation, robotics, CNC machinery, 3D printing, and medical equipment due to their precision, reliability, and repeatable motion. However, the operating environment significantly affects the performance, efficiency, and longevity of stepper motors. Understanding environmental considerations is crucial for engineers and system designers to ensure optimal operation, safety, and durability.
Stepper motors generate heat during operation, and ambient temperature can directly impact performance. High temperatures can lead to:
Reduced torque output
Overheating of windings and drivers
Insulation degradation and shorter motor lifespan
Conversely, extremely low temperatures may increase viscosity in lubricated components and reduce responsiveness. Effective thermal management strategies include:
Proper ventilation: Ensures airflow to dissipate heat.
Heatsinks and cooling fans: Reduce the risk of overheating in enclosed or high-duty-cycle applications.
Temperature-rated motors: Selecting motors designed for the specific thermal environment.
Maintaining temperature within operational limits ensures consistent torque and reliable step accuracy.
High humidity or exposure to moisture can cause corrosion, short circuits, and insulation breakdown in stepper motors. Water ingress can lead to permanent motor damage, especially in industrial or outdoor environments. Measures to mitigate these risks include:
IP-rated enclosures: Protect against dust and water ingress (e.g., IP54, IP65).
Sealed motors: Motors with gaskets and seals prevent moisture penetration.
Conformal coating: Protects windings and electronic components from moisture and contaminants.
Proper moisture management enhances motor reliability and operational lifespan.
Dust, metal particles, and other contaminants can affect Stepper Motors by interfering with cooling, increasing friction, or causing electrical shorts. Applications such as woodworking machinery, 3D printing, and industrial automation often operate in dusty environments. Protective strategies include:
Enclosures and covers: Shield motors and drivers from debris.
Filters and sealed housings: Prevent fine particles from entering sensitive areas.
Regular maintenance: Cleaning and inspection to remove accumulated dust.
By controlling exposure to contaminants, motors maintain consistent performance and reduce maintenance requirements.
Stepper motors are sensitive to vibration and mechanical shock, which can lead to:
Missed steps and positional errors
Premature wear of bearings and couplings
Driver or motor damage under repeated impact
To mitigate these issues:
Vibration isolation mounts: Absorb mechanical shock and prevent transmission to the motor.
Rigid mounting hardware: Ensures stability while reducing vibration-induced errors.
Shock-rated motors and drivers: Designed to withstand impact in harsh industrial environments.
Proper management of vibration ensures accuracy, smooth operation, and extended motor life.
Stepper motors can be affected by electromagnetic interference from nearby equipment or high-power systems. EMI can cause erratic movement, missed steps, or driver malfunctions. Environmental considerations include:
Shielded cables: Reduce susceptibility to external EMI.
Proper grounding: Ensures stable electrical operation.
Electromagnetic-compatible enclosures: Prevent interference from surrounding equipment.
Controlling EMI is critical for precision applications, such as medical devices, laboratory instruments, and automated robotics.
Stepper motors operating at high altitudes may experience reduced cooling efficiency due to thinner air, affecting heat dissipation. Designers should consider:
Enhanced cooling mechanisms: Fans or heat sinks to compensate for lower air density.
Temperature derating: Adjusting operational limits to prevent overheating.
This ensures reliable performance in mountainous, aerospace, or high-altitude industrial environments.
Exposure to chemicals, solvents, or corrosive gases can damage stepper motors, particularly in chemical processing, food production, or laboratory environments. Protective measures include:
Corrosion-resistant materials: Stainless steel shafts and housings.
Protective coatings: Epoxy or enamel coatings on motor windings.
Sealed enclosures: Prevent ingress of harmful chemicals or vapors.
Proper chemical protection ensures long-term reliability and safe operation in demanding environments.
Environmental considerations also extend to maintenance practices:
Regular inspection: Detects early signs of wear, corrosion, or contamination.
Environmental sensors: Temperature, humidity, or vibration sensors can trigger preventive actions.
Preventive lubrication: Ensures bearings and mechanical components operate smoothly under varying environmental conditions.
Monitoring environmental factors reduces unplanned downtime and extends stepper motor life.
Environmental factors such as temperature, humidity, dust, vibration, EMI, altitude, and chemical exposure significantly affect stepper motor performance and reliability. By selecting environmentally rated motors, protective enclosures, cooling solutions, vibration isolation, and proper cabling, engineers can optimize stepper motor systems for safe, efficient, and long-lasting operation. Understanding and addressing these environmental considerations is essential for maintaining precision, accuracy, and operational efficiency across a wide range of industrial and commercial applications.
Stepper motors are widely used in automation, robotics, CNC machines, and 3D printers because of their precision, reliability, and cost-effectiveness. However, like any electromechanical component, stepper motors have a limited lifetime. Understanding the factors that influence their durability helps in choosing the right motor, optimizing performance, and reducing maintenance costs.
The lifetime of a stepper motor is usually measured in operating hours before failure or degradation.
Average range: 10,000 to 20,000 hours under normal operating conditions.
High-quality stepper motors: Can last 30,000 hours or more, especially if paired with proper drivers and cooling.
Industrial-grade stepper motors: Designed to run continuously and may exceed 50,000 hours with regular maintenance.
Bearings and shafts are the primary wear points.
Poor alignment, excessive load, or vibration accelerates wear.
Excessive current or poor ventilation leads to overheating.
Continuous high temperatures damage insulation and reduce motor lifespan.
Dust, humidity, and corrosive gases can affect internal components.
Motors in clean, controlled environments last much longer.
Incorrect driver settings, overvoltage, or frequent start-stop cycles increase stress.
Resonance and vibration may lead to premature failure.
Operating near maximum torque capacity shortens lifespan.
Continuous high-speed operation puts extra strain on windings and bearings.
Unusual noise or vibration.
Loss of steps or reduced positional accuracy.
Excessive heat during normal loads.
Gradual decline in torque output.
Use heatsinks or fans to manage temperature.
Ensure good airflow in enclosed applications.
Match motor current to rated specifications.
Use microstepping to reduce vibration and mechanical stress.
Avoid operating the motor continuously at maximum rated torque.
Use gear reduction or mechanical support if needed.
Inspect bearings, shafts, and alignment.
Keep the motor free from dust and contaminants.
Choose motors from reputable manufacturers for better winding insulation, precision bearings, and robust housings.
DC Motors: Generally shorter life due to brush wear.
BLDC Motors: Longer life than steppers, since they have no brushes and produce less heat.
Servo Motors: Often outlast stepper motors, but at a higher cost.
The lifetime of a stepper motor depends heavily on usage conditions, cooling, and load management. While a typical stepper motor lasts between 10,000 to 20,000 hours, proper design, installation, and maintenance can significantly extend its service life. By balancing performance requirements with operating conditions, engineers can ensure long-term reliability and cost-effectiveness in applications ranging from hobby projects to industrial automation.
Stepper motors are known for their durability and low maintenance requirements, especially compared to brushed DC motors. However, like any electromechanical device, they benefit from routine care to ensure smooth operation, prevent premature failure, and maximize lifetime.
This guide outlines the key maintenance practices for stepper motors in industrial, commercial, and hobby applications.
Keep the motor surface free from dust, dirt, and debris.
Avoid oil or grease buildup on the housing.
Use a dry cloth or compressed air (not liquid cleaners) for safe cleaning.
Bearings are one of the most common wear points.
Many stepper motors use sealed bearings, which are maintenance-free.
For motors with serviceable bearings:
Apply manufacturer-recommended lubrication periodically.
Listen for unusual noises (grinding or squealing), which indicate bearing wear.
Check cables, connectors, and terminals for wear, looseness, or corrosion.
Ensure wiring insulation is intact to prevent shorts.
Tighten loose terminals to avoid arcing and overheating.
Overheating is a major cause of motor degradation.
Ensure adequate airflow around the motor.
Regularly clean ventilation openings, fans, or heatsinks.
Consider external cooling fans for high-load or enclosed environments.
Misalignment between the motor shaft and load increases stress.
Regularly check shaft coupling, gears, and pulleys for proper alignment.
Ensure the motor is securely mounted with minimal vibration.
Avoid running the motor at or near maximum torque capacity for extended periods.
Inspect the mechanical load (belts, screws, or gears) for friction or resistance.
Use gear reduction or mechanical support to reduce strain on the motor.
Verify that the stepper driver current settings match the motor's rated current.
Update firmware or motion control software when necessary.
Check for signs of electrical noise, missed steps, or resonance and adjust settings accordingly.
Keep the motor protected from moisture, corrosive chemicals, and dust.
For harsh environments, use motors with IP-rated enclosures.
Avoid sudden temperature changes that cause condensation inside the motor.
Measure motor temperature, torque, and accuracy at regular intervals.
Compare current performance with initial specifications.
Replace the motor if significant loss of torque or step accuracy is detected.
| Task | Frequency | Notes |
|---|---|---|
| Surface cleaning | Monthly | Use dry cloth or compressed air |
| Connection check | Quarterly | Tighten terminals, inspect cables |
| Bearing inspection | Every 6–12 months | Only if bearings are serviceable |
| Cooling system cleaning | Every 6 months | Check fans/heatsinks |
| Alignment check | Every 6 months | Inspect couplings and load |
| Performance testing | Annually | Torque and temperature check |
While stepper motors require minimal maintenance, following a structured care routine helps ensure reliable performance over years of operation. The most important practices are keeping the motor clean, preventing overheating, ensuring proper alignment, and checking electrical connections. With these steps, users can maximize the lifetime of their stepper motors and avoid unexpected downtime.
Stepper motors are highly reliable, but like all electromechanical devices, they may encounter problems during operation. Effective troubleshooting ensures that faults are identified quickly and corrective actions are taken to minimize downtime. This guide explains the common issues, causes, and solutions when dealing with stepper motor problems.
Power supply not connected or insufficient voltage.
Loose or broken wiring.
Faulty driver or incorrect driver settings.
Controller not sending step signals.
Verify power supply voltage and current ratings.
Inspect and tighten all wiring connections.
Check driver compatibility and configuration (microstepping, current limits).
Ensure the controller is outputting proper pulses.
Incorrect phase wiring (swapped coil connections).
Driver misconfigured or step signals missing.
Mechanical load is jammed or too heavy.
Double-check motor coil wiring using the datasheet.
Test motor without load to confirm free movement.
Adjust step pulse frequency to within recommended range.
Overloaded motor or excessive torque demand.
Step pulse frequency too high.
Resonance or vibration issues.
Insufficient current from the driver.
Reduce load or use a motor with higher torque rating.
Lower stepping frequency or use microstepping.
Add dampers or mechanical supports to reduce resonance.
Adjust driver current settings properly.
Excessive current supplied to motor.
Poor ventilation or cooling.
Running continuously at maximum load.
Check and reduce driver current to rated values.
Improve airflow with fans or heatsinks.
Reduce duty cycle or mechanical stress on the motor.
Resonance at specific speeds.
Mechanical misalignment in coupling or shaft.
Bearing wear or lack of lubrication.
Use microstepping to smooth operation.
Adjust acceleration and deceleration ramps.
Inspect bearings and couplings for wear or misalignment.
Sudden load increase or obstruction.
Insufficient torque at operating speed.
Incorrect acceleration settings.
Remove obstructions and check mechanical load.
Operate within the motor's torque-speed curve.
Adjust motion profile to use smoother acceleration ramps.
Coil connections reversed.
Incorrect driver configuration.
Swap one pair of coil wires to reverse direction.
Recheck driver settings in control software.
Overcurrent or overheating protection triggered.
Short circuit in wiring.
Incompatible motor-driver pairing.
Reduce current limit settings.
Inspect motor wiring for shorts or damage.
Verify motor-driver compatibility.
Multimeter → Check continuity of coils and supply voltage.
Oscilloscope → Inspect step pulses and driver signals.
Infrared thermometer → Monitor motor and driver temperature.
Test load → Run motor with no or minimal load to isolate issues.
Match motor and driver specifications correctly.
Use proper cooling and ventilation.
Avoid operating near maximum torque and speed limits.
Regularly inspect wiring, bearings, and mounting alignment.
Troubleshooting a stepper motor involves systematically checking electrical, mechanical, and control system factors. Most issues can be traced back to improper wiring, incorrect driver settings, overheating, or load mismanagement. By following structured troubleshooting steps and preventive measures, you can maintain stepper motors at peak performance and minimize downtime.
A stepper motor is a type of electromechanical device that converts electrical pulses into precise mechanical movements. Unlike conventional motors, stepper motors rotate in discrete steps, allowing for accurate control of position, speed, and direction without requiring feedback systems. This makes them ideal for applications where precision and repeatability are essential.
Stepper motors are widely used in automated machinery where precise positioning is critical.
CNC machines (milling, cutting, drilling).
Pick-and-place robots.
Conveyor systems.
Textile and packaging equipment.
In robotics, stepper motors provide smooth and controlled movements.
Robotic arms for assembly and inspection.
Mobile robots for navigation.
Camera and sensor positioning systems.
One of the most common modern uses of stepper motors is in 3D printers.
Controlling X, Y, and Z axes movement.
Driving the extruder for filament feeding.
Ensuring layer-by-layer accuracy in printing.
Stepper motors are often hidden inside everyday devices.
Printers and scanners (paper feed, print head movement).
Photocopiers.
Hard drives and optical drives (CD/DVD/Blu-ray).
Camera lens focus and zoom mechanisms.
Stepper motors are found in various automotive control systems.
Instrument clusters (speedometer, tachometer).
Throttle control and EGR valves.
HVAC systems (airflow and vent control).
Headlight positioning systems.
Precision and reliability make stepper motors ideal for medical devices.
Infusion pumps.
Blood analyzers.
Medical imaging equipment.
Surgical robots.
In aerospace and defense, stepper motors are used for highly reliable, repeatable motion.
Satellite positioning systems.
Missile guidance and control.
Radar antenna movement.
Stepper motors also play a role in sustainable energy.
Solar tracking systems (adjusting panels to follow the sun).
Wind turbine blade pitch control.
In smart devices and home automation, stepper motors add precision.
Smart locks.
Automated curtains and blinds.
Surveillance cameras (pan-tilt control).
A stepper motor is used wherever precise motion control is needed. From industrial machinery and robotics to consumer electronics and medical equipment, stepper motors play a crucial role in modern technology. Their ability to provide accurate, repeatable, and cost-effective positioning makes them one of the most versatile motors available today.
Here's a detailed overview of 10 popular Chinese stepper motor brands, organized with company profiles, main products, and their advantages. Some companies are well-documented in industry sources, while others appear on lists or supplier directories.
Company Profile: Established 1994; a prominent name in motion control and intelligent lighting systems.
Main Products: Hybrid Stepper Motors, stepper drivers, integrated systems, hollow-shaft motors, step-servo motors.
Advantages: Strong R&D, extensive product variety, reliable performance, partnerships with Schneider Electric.
Company Profile: Founded in 1997 (or 2003), specialized in motion control products.
Main Products: Stepper drives, integrated motors, servo drives, motion controllers.
Advantages: High precision, cost-effective solutions, excellent customer support.
Company Profile: Operational since around 2011 with ISO9001 and CE certifications.
Main Products: Hybrid, linear, geared, brake, closed-loop and integrated stepper motors; drivers.
Advantages: Customization, international quality compliance, durable and efficient motor designs.
Company Profile: Specializes in motion control for CNC and automation.
Main Products: 2-phase, linear, closed-loop, hollow-shaft stepper motors, integrated motor-driver systems.
Advantages: Precision motion solutions, advanced R&D, reputation for quality.
Company Profile: Over 20 years in CNC stepper sector.
Main Products: 2- & 3-phase hybrid, linear, planetary-geared, hollow shaft stepper motors.
Advantages: ISO 9001-certified, reliable and affordable, strong global reach.
Company Profile: Founded in 2007; key player in CNC motor manufacturing.
Main Products: 2- & 3-phase hybrid, integrated motor-driver, closed-loop systems.
Advantages: Innovation-focused, trusted by international clients.
Company Profile: Known for R&D and advanced manufacturing.
Main Products: Hybrid, linear, closed-loop motors, geared motor variants.
Advantages: High-tech production, precision-focused, broad application support.
Company Profile: Specialist in transmission and motion solutions.
Main Products: Hybrid Stepper Motors, planetary gearboxes.
Advantages: Strong engineering integration, robust build, diverse industrial applications.
Company Profile: Noted for high-performance 2-phase motors in various fields.
Main Products: Customizable 2-phase stepper motors.
Advantages: ISO-certified, strong R&D, adaptable designs.
Company Profile: High-tech motion control company.
Main Products: 2-phase stepper motors, drivers, integrated systems.
Advantages: Innovative, compact solutions, strong after-sales service.
| Brand | Profile Summary | Products & Strengths |
|---|---|---|
| MOONS' Industries | Established, R&D-driven | Hybrid, hollow, step-servo; innovation & variety |
| Leadshine Technology | Precision motion control | Drives, integrated motors; cost-effective, precise |
| Changzhou Jkongmotor | Customizable, certified | Wide motor/driver range; efficient, support |
| Fulling Motor | CNC-focused, ISO-certified | Hollow shaft, hybrid motors; budget & quality |
| Hualq etc. (integrated STM) | Smart automation focus | Integrated motors; efficient, precise, custom |
Selecting the right stepper motor is crucial to ensure reliable performance, efficiency, and durability in your system. Since stepper motors come in different sizes, torque ratings, and configurations, choosing the wrong one can lead to overheating, skipped steps, or even system failure. Below is a step-by-step guide to help you choose the most suitable stepper motor for your application.
Before selecting a motor, clearly define:
Motion type → Linear or rotary.
Load characteristics → Weight, inertia, and resistance.
Speed requirements → How fast the motor needs to accelerate or run.
Precision needs → Required accuracy and repeatability.
There are different types of stepper motors, each suited for specific tasks:
Permanent Magnet Stepper (PM) → Low cost, simple, used in basic positioning.
Variable Reluctance Stepper (VR) → High speed, lower torque, less common.
Hybrid Stepper Motor → Combines PM and VR advantages; offers high torque and precision (most popular in industrial use).
Stepper motors are classified by NEMA frame size (e.g., NEMA 8, 17, 23, 34).
NEMA 8–17 → Compact size, suitable for small 3D printers, cameras, and medical devices.
NEMA 23 → Mid-size, commonly used in CNC machines and robotics.
NEMA 34 and above → Larger torque, suitable for heavy-duty machinery and automation systems.
Torque is the most important factor in motor selection.
Holding Torque → Ability to maintain position when stopped.
Running Torque → Needed to overcome friction and inertia.
Detent Torque → Natural resistance to movement without power.
Tip: Always select a motor with at least 30% more torque than your calculated requirement to ensure reliability.
Stepper motors have a torque-speed curve: torque decreases at higher speeds.
For high-speed applications, consider using:
Higher voltage drivers.
Gear reduction to balance torque and speed.
Closed-loop stepper systems to prevent missed steps.
Ensure voltage and current ratings of the motor match the driver.
Microstepping drivers allow smoother motion and reduced resonance.
Closed-loop drivers provide feedback, preventing step loss.
Consider the operating environment:
Temperature → Ensure the motor can handle expected heat levels.
Humidity/Dust → Choose motors with protective enclosures (IP-rated).
Vibration/Shock → Select rugged designs for harsh industrial settings.
For simple, low-cost devices → Use PM or small hybrid steppers.
For precision tasks (CNC, robotics, medical) → Use high-torque hybrid or closed-loop steppers.
For energy-sensitive applications → Look for high-efficiency motors.
| Application | Recommended Stepper Motor |
|---|---|
| 3D Printers | NEMA 17 Hybrid Stepper |
| CNC Machines | NEMA 23 / NEMA 34 Hybrid Stepper |
| Robotics | Compact NEMA 17 or NEMA 23 |
| Medical Devices | Small PM or Hybrid Stepper |
| Industrial Automation | High-torque NEMA 34+ Hybrid Stepper |
| Automotive Systems | Custom Hybrid Stepper with feedback |
✔ Define load and torque requirements.
✔ Select correct stepper type (PM, VR, Hybrid).
✔ Match NEMA size to application.
✔ Check speed and acceleration needs.
✔ Ensure driver and power supply compatibility.
✔ Consider environmental factors.
✔ Balance cost with required performance.
Choosing the right Stepper Motor requires balancing torque, speed, size, precision, and cost. A well-matched motor ensures smooth operation, long lifespan, and efficiency in your application. Always consider both electrical and mechanical requirements before making a final decision.
Whether you want to learn more about the different types of motors or are interested in checking out our Industrial Automation Hub, simply follow the links below.
How To Choose Best NEMA 11 Stepper Motor Manufacturers in United States 2026
How To Choose Reliable Suppliers for Brake Stepper Motors in United States?
How to Choose Reliable Stepper Motor Manufacturers in India?
What Is The Difference Between A Stepper Motor And A Normal Motor?
What’s the Difference Between Servo Motors and Stepper Motors?
© COPYRIGHT 2025 CHANGZHOU JKONGMOTOR CO.,LTD ALL RIGHTS RESERVED.