ブラシレス DC (BLDC) モーターは、その 効率、精度、信頼性が 産業用、自動車用、民生用アプリケーションにわたって広く知られています。ブラシ付きモーターとは異なり、BLDC モーターは物理的なブラシ機構を排除し、摩耗を大幅に軽減し、寿命を延ばします。ただし、このブラシレス構成では、 正確なローター位置の検出が必要です。 正しい整流を維持し、モーターがスムーズかつ効率的に動作するように、ここで ホール効果センサーが 重要な役割を果たします。
ホール効果センサーは、 磁場センサーです。 ローターの位置を検出する磁束の変化を電気信号に変換することで、モーターコントローラーがローターの正確な位置を決定できるようになり、正確な 整流タイミングが可能になり 、モーター全体の性能が向上します。
ホール 効果は、 で広く使用される基本的な物理現象です 電子センシングおよびモーター制御システム。 によって初めて発見され、 1879 年にエドウィン ホールと発生します。 垂直に磁場が印加される 導体または半導体内の電流の方向に対してこの相互作用により、 電圧差がとして知られる ホール電圧、電流と磁場の両方に垂直な方向に材料全体に生じます。
電流が導体を流れるとき、 移動する電荷キャリア(通常は電子) は ローレンツ力を受けます。 磁場が存在すると、この力により電子が導体の片側に押し出され、 電位差が生じます。 導体の幅全体にこの電圧の大きさは次の値に直接比例します。
磁場の強さ
導体に流れる電流量
電荷キャリアの種類と密度
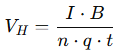
数学的には、ホール電圧 VHV_HVH は次のように表すことができます。

I = 導体を流れる電流
B = 磁束密度
n = 電荷キャリア密度
q = 電子の電荷
t = 導体の厚さ
この電圧を測定して、 磁場の存在と強さを判断するために使用できるため、モーターの位置検出に最適です。
ホール効果の原理は、 現代のエレクトロニクスとモーター制御において重要な概念であり、磁場とローターの位置の正確な検出を可能にします。磁場に応答して測定可能な電圧を生成することにより、 ホール効果センサーの基盤を形成します。 BLDC モーター、ロボット工学、自動車アプリケーション、産業オートメーションで使用されるこの原理により、 精度、効率、信頼性が保証されます システムの ローター位置の検出が重要な 。
ブラシレス DC (BLDC) モーターにおける正確 ホール効果センサーの配置と構成は、 実現するために重要です。 なローター位置検出、効率的な整流、スムーズなモーター動作をセンサーの正しい配置は、 トルク性能、速度制御、信頼性に直接影響します。 モーターの
BLDC モーターは通常、 3 つのホール効果センサーを採用しています。配置された 電気角 120 度離れて ステーターの周囲にこの構成により、ローターの位置が全回転を通じて継続的に監視されることが保証されます。
ステーターの取り付け: センサーは ステーターコアに取り付けられます。、ローターの磁石が通過するエアギャップの近くの
ローター磁石への近接性: センサーとローター間の距離は、 磁束変化を効果的に検出するために最適化する必要があります。 機械的干渉なしに
方向: センサーは、ローターの回転時にように位置合わせする必要があります。 ローターの磁極が 明確なデジタル High または Low 信号をトリガーする
適切な配置により、スムーズな 正確な信号タイミングが確保されます。に不可欠な 整流とトルク伝達.
3 つのセンサー構成は BLDC モーターで最も一般的であり、 120° ホール センサー配置と呼ばれることがよくあります。各センサーは、 バイナリ信号を提供します。どちらを検出したかに応じて、高または低の 北磁極または南磁極の.
信号フェーズ: 3 つのセンサーの組み合わせにより、単一の電気サイクルに対して 6 つの固有の状態が生成され 、モーター コントローラーが 6 ステップの整流に誘導されます。.
整流精度: ハイ信号とロー信号のシーケンスにより、コントローラーが正しい固定子巻線に通電し、 連続回転とトルク出力を維持します。.
一部の特殊な BLDC モーターでは次のものを使用する場合があります。
シングルまたはデュアル ホール センサー。ただし、 シンプルまたは低コストのアプリケーション向けの 低速の精度が低下する可能性があります。.
高解像度センサーアレイにより 高度なモーターの ローター位置を正確に検出し、 スムーズなフィールド指向制御 (FOC)を実現.
ホール センサーは通常、 モーター コントローラーから電力を供給され 、 デジタル信号を に直接出力します。 電子速度コントローラー (ESC).
共通配線: 各センサーには 3 本の配線があります。電源 (Vcc)、グランド (GND)、出力信号の
信号処理: ESC はセンサーの状態を読み取り、ローターの位置を決定し、転流に 適切な三相電圧波形を生成します 。
ノイズの軽減: 適切な配線とシールドにより、 電磁干渉を防止します。を引き起こす可能性のある モーターの不安定な動作.
以下 ホール センサーの正確な配置は に影響します。
低速動作 – 正確な位置検出により、 失速やコギングを防止します。 低 RPM での
トルクリップルの低減 – 最適化されたアライメントにより、よりスムーズなトルク出力と最小限の振動が保証されます。
効率 – 正しい転流により 電力損失と発熱が減少し、全体の効率が向上します。
双方向制御 – 適切な構成により、モーターはタイミングエラーなく両方向にスムーズに動作します。
配置が正しくないと発生する可能性があります。 タイミングの不一致、トルクの低下、および 不安定なモーター動作が、特にロボットや電気自動車などの高精度アプリケーションでは、
の配置 と構成 BLDC モーターのホール効果センサーは、 ローター位置の正確な検出、効率的な整流、最適なモーター性能にとって重要です。適切 に設計されたセンサー配置により、 スムーズな低速動作、安定したトルク、信頼性の高い高速性能が保証されます。には、モーター コントローラーとの適切な統合と、配線、位置合わせ、およびシールドへの注意が不可欠です。 ホール センサーを搭載した BLDC モーターの能力を最大限に引き出す.
では、信号処理とモーターの整流が ブラシレス DC (BLDC) モーター変換する重要なプロセスです 、ホール効果センサーのデータを に 正確なタイミングの電気パルス。これらのプロセスにより、ローターがスムーズかつ効率的に、あらゆる速度にわたって一貫したトルクで回転することが保証されます。 を最適化するには、これがどのように機能するかを理解することが不可欠です。 性能、信頼性、効率 BLDC モーター システムの
ホール効果センサーは、 デジタル信号を生成します。 ローターの磁石が近くを通過すると各センサーは バイナリ出力を生成します。
高 (1) : センサーが北磁極を検出したとき。
低 (0) : センサーが S 磁極を検出したとき。
標準の 3 センサー構成では、高状態と低状態の組み合わせにより 6 つの固有の信号パターンが生成されます。 、電気回転ごとにこれらのパターンは、 ローター位置マップを形成します。 モーター コントローラーが どのステーター巻線に通電するかを決定するために使用する.
モーター コントローラーは ホール センサー信号を継続的に読み取り、 ローターの正確な位置を決定します。このプロセスには、いくつかの重要な手順が含まれます。
信号のデバウンス – 過渡変動やノイズをフィルターで除去し、誤ったトリガーを防ぎます。
状態認識 – 3 つのセンサー出力に基づいて、6 つのローター位置のどれが現在アクティブであるかを識別します。
タイミング計算 – 固定子巻線間の電流を切り替える正確な瞬間を決定し、 同期回転を保証します。.
パルス生成 – ローター位置データを 3 相電気パルスに変換し 、モーター コイルに順番に通電します。
を維持するには、正確な信号処理が重要です。 高効率、最小限のトルクリップル、安定した低速性能.
転流とは、ローターの動きを維持するために、 流れる電流を切り替えるプロセスを指します BLDC モーター巻線を 。ブラシ付きモーターとは異なり、BLDC モーターはホール センサーのフィードバックによって制御される 電子整流に依存しています 。
最も一般的な方法は、 6 ステップの台形整流です。
ホール センサーはローターの磁場の極性を検出します。
モーター コントローラーは、 3 つの巻線のうち 2 つに通電します。 センサー信号に基づいて
ローターが動くとセンサー出力が変化し、コントローラーに次の巻線ペアへの切り替えを促します。
このサイクルを継続的に繰り返すことで ローターが滑らかに回転します。.
高度な BLDC モーターは、 フィールド指向制御を使用しますのためにホール センサーのフィードバックに依存する 正確なローター位置マッピング。 FOC では次のことが可能になります。
正弦波電流制御。 スムーズな動きを実現する
トルクリップルが減少します。特に低速時の
効率が向上します。 さまざまな負荷条件下での
FOC はで特に重要です。 高性能アプリケーション、ロボット、ドローン、電気自動車などの
整流の正確なタイミングは次の場合に不可欠です。
トルクの一貫性を維持 – タイミングが正しくないと コギングや振動が発生する可能性があります.
過電流の防止 – 間違ったタイミングで間違った巻線に通電すると、過剰な電流が流れ、モーターが過熱する可能性があります。
効率の最適化 – 適切なタイミングでの整流により、エネルギー損失と発熱が削減されます。
スムーズな双方向動作 – ホール センサー信号により、シームレスな前進および後退動作が可能になります。
わずかなタイミングエラーでもにつながる可能性があります。 性能低下や早期摩耗 、BLDC モーターの
電子 速度コントローラー (ESC) は、 ホール センサー データをモーター整流と統合する上で中心的な役割を果たします。
読み取ります 3 つのホール センサー入力を同時に 。
ステーター コイルに通電するためのを決定します 適切な相シーケンス 。
を変調して PWM (パルス幅変調) 信号 モーターの速度とトルクを制御します。
を実装します。 保護機能ローター位置フィードバックに基づいて、過電流シャットダウンや失速防止などの
この統合により、BLDC モーターはの下で効率的に動作し さまざまな負荷と速度、信頼性と高性能の両方が保証されます。
BLDC モーターの信号処理とモーター整流は、 ブラシレス モーターの効率的な動作の中心です。ホール効果センサーのデータを正確にタイミングを合わせた電気パルスに変換することにより、モーター コントローラーは スムーズな回転、安定したトルク、高効率を維持します。を使用する場合でも、 6 ステップ整流 標準アプリケーションに フィールド指向制御を使用する場合でも、正確な信号処理により BLDC モーターが 高精度タスクに あらゆる動作条件にわたって最適なパフォーマンスを確実に発揮します。.
ホール効果センサーは、 ブラシレス DC (BLDC) モーターの重要なコンポーネントであり、正確なローター位置フィードバックを提供し、正確な電子整流を可能にします。これらの統合により、 性能、信頼性、効率が向上し、現代のモーター用途に不可欠なものとなっています。ここでは、BLDC モーターでホール効果センサーを使用する主な利点を検討します。
ホール効果センサーの最も重要な利点の 1 つは、 ローターの位置を正確に検出できることです。ホール センサーはローターの永久磁石の磁場を監視することにより、 リアルタイムのデジタル信号を提供します。 モーター コントローラーが次のことを判断するために使用する
どの固定子巻線に通電するか
整流の正確なタイミング
双方向制御のためのローターの向き
この正確な検出により、 スムーズな回転、最小限のトルクリップル、 最適なモーター効率が保証されます。変動する負荷や低速時でも、
ホール センサーのない BLDC モーターは、 低速動作で苦労することがよくありますが、低 RPM では無視できるほどです。センサーレス システムが逆起電力 (起電力) に依存しているため、ホール効果センサーは、継続的な位置フィードバックを提供することで この制限を克服し 、次のことを可能にします。
極低速でも安定した動作
コギングのないスムーズな始動
繊細な用途向けに正確なトルクを供給
このため、ホール センサーはロボット工学、CNC 機械、その他の 精密駆動機器において特に価値があります。.
を提供することにより 正確なローター位置情報、ホール効果センサーはモーターコントローラーが 正確に転流することを可能にし、エネルギー損失を最小限に抑えます。利点は次のとおりです。
削減 消費電力の
モーター巻線の発熱を低減
所定の電流に対する最大のトルク出力
効率的な動作によるモーターの寿命の延長
全体として、センサーは運用効率の向上 高いエネルギー使用に直接貢献します。 とコスト効率の
ホールセンサーにより、性能を低下させることなく リバーシブルモーター動作が可能になります 。ローターの位置を正確に追跡することで、コントローラーは次のことが可能になります。
モーターの方向をシームレスに反転
前進と後進の両方で一貫したトルクを維持します。
ロボット工学や自動機械に必要な複雑な動作シーケンスをサポート
この 双方向機能により、 動的システムにおける BLDC モーターの多用途性が高まります。
ホール効果センサーを組み込むことにより、 モーターの安全性と信頼性も向上します。センサーのフィードバックにより、コントローラーは ローターの異常な位置や失速状態を検出できるため、次のことが可能になります。
モーターの損傷を防ぐための自動シャットダウン
ローター負荷に基づく過電流保護
アライメントのずれや機械的摩耗の早期検出
これらの機能により、 メンテナンス コストが削減され 、 致命的な故障が防止されるため、ホール センサーを搭載した BLDC モーターは、電気自動車や医療機器などの重要な用途に適しています。
ホール効果センサーはを実装するために不可欠です。 高度なモーター制御戦略、次のような
フィールド指向制御 (FOC) – スムーズな正弦波電流制御を可能にし、トルク リップルを低減します。
閉ループ速度制御 – 変動する負荷条件下でも正確なモーター速度を維持します。
予知メンテナンス – リアルタイムのローターフィードバックにより、潜在的な問題を事前に検出できます。
これらの技術をサポートすることにより、ホール センサーはBLDC モーターの 性能、精度、信頼性を センサーレス設計の能力を超えて強化します。
ホール効果センサーは 非接触型でソリッドステートであるため、いくつかの実用的な利点があります。
機械的磨耗や摩擦がない
防塵、湿気、振動に対する高い耐性
過酷な産業環境でも信頼性の高い動作を実現
最小限のメンテナンス要件
この耐久性により 長期にわたるパフォーマンスが保証され、 に最適です。 産業用途や自動車用途.
BLDC モーターにホール効果センサーを統合するとなど、幅広いメリットが得られます 、正確なローター位置検出、低速性能の向上、効率の向上、双方向制御、安全機能、高度なモーター制御技術との互換性。堅牢な非接触設計により、 信頼性が高く長期にわたる動作が保証され、高性能、精密駆動の産業用 BLDC モーター アプリケーションに不可欠なものとなっています。
が、その統合には特定の ホール効果センサーは ブラシレス DC (BLDC) モーターの性能を大幅に向上させます 課題と技術的考慮事項が伴います。これらの要素を理解することは、すべてのアプリケーションにわたって信頼性が高く、効率的で、安全なモーター動作を保証するために重要です。
ホール効果センサーは、 ローターの永久磁石の磁場の検出に依存しています。外部磁気源または近くの電気機器は 干渉を引き起こし、次のような事態を引き起こす可能性があります。
不安定なセンサー信号
誤った整流タイミング
トルクリップルまたはモーターの不安定性
を使用する 磁気シールド センサーの周囲に
を最適化する センサーの配置 干渉源から離れた
を採用し、過渡的な外乱を無視 デジタルフィルター モーターコントローラーに
特に電磁ノイズの多い産業環境では、磁気干渉に適切に注意することが重要です。
ホール センサーは 極端な温度の影響を受ける可能性があり、出力電圧やトリガー ポイントが変化する可能性があります。高熱により次のような事態が生じる可能性があります。
ローター位置の読み間違い
転流精度の低下
モーター効率損失の可能性
高品質のホール センサーには、 温度補償機能が組み込まれていることがよくあります。 凍結条件から高温の産業環境に至るまで、幅広い動作範囲にわたって一貫した性能を維持するための
です 。 正確な動作には、ロータ磁石に対するホール センサーの物理的な配置と位置合わせが不可欠位置がずれていると、次のような原因が発生する可能性があります。
誤った信号出力または遅延した信号出力
振動やコギングなど、モーターの不安定な動作
トルクと効率の低下
最適なパフォーマンスを達成するには、設計者は慎重に校正し、正確な エアギャップを ローターとセンサーの間の 角度位置を確保する必要があります 。
ホール センサーを組み込むと、 ハードウェアと配線がさらに複雑になります。 BLDC モーター システムの
各センサーには 電源、アース、信号配線が必要です
コントローラーは 複数の信号を同時に解釈する必要があります
追加の PCB スペースが必要になる場合があります センサーの統合には
この複雑さにより 、コスト、設計労力、潜在的な障害点が増加する可能性があります。ただし、特に高精度アプリケーションでは、通常、パフォーマンス上の利点がこれらの課題を上回ります。
モーター巻線、パワー エレクトロニクス、または近くのデバイスからの電気ノイズにより、 ホール センサーの出力が歪み、ローター位置の読み取り値が不正確になる可能性があります。結果には次のようなものがあります。
低速動作が不安定
トルクの滑らかさの低下
エネルギー消費量の増加
シールド付きセンサーケーブル
信号調整回路
デジタル デバウンスおよびフィルタリング アルゴリズム ESC の
を維持するには、クリーンで安定したセンサー信号を確保することが不可欠です モーターの高い信頼性.
ホール効果センサーを追加すると、 全体的なコストが増加します。 次の理由により BLDC モーター システムの
追加のセンサーコンポーネント
ワイヤーハーネスおよびコネクタ
ホール信号を解釈できる高度なモーターコントローラー
センサーレス BLDC 設計はコストを削減しますが、ホール搭載システムは より優れた精度、信頼性、低速性能を提供するため、ほとんどの専門的および産業用アプリケーションにおいて投資に価値があります。
回転速度が非常に高い場合、 伝播遅延によりホール センサー信号がわずかに遅れる場合があり、転流タイミングに影響を与える可能性があります。最新の ESC はを使用してこれを補償しますが、設計者は 予測アルゴリズムにおける潜在的なタイミング シフトを考慮する必要があります。 高速モーター アプリケーション.
ホール効果センサーはBLDC モーターに 重大な利点をもたらしますが、その使用には を慎重に考慮する必要があります 磁気干渉、温度の影響、機械的位置合わせ、配線の複雑さ、信号ノイズ、コスト、および高速の制限。を通じてこれらの課題に対処することで 設計の最適化、シールド、フィルタリング、および精密な位置合わせ、エンジニアはホール センサーを最大限に活用して、要求の厳しいアプリケーションにおいて スムーズで効率的かつ信頼性の高いモーター性能を実現できます 。
ブラシレス DC (BLDC) モーターは、 その高効率、正確な制御、長寿命により、現代のオートメーション、ロボット工学、電気自動車の基礎となっています。この領域内では、 ホール効果センサーを搭載した BLDC モーター と センサーレス BLDC モーターのどちらを選択するか が極めて重要であり、性能、信頼性、コストに影響を与えます。この記事では、これら 2 つのアプローチを詳細に検討し、運用メカニズム、利点、制限、アプリケーション固有の考慮事項に焦点を当てます。
| 特徴 | ホール効果センサー BLDC | センサーレス BLDC |
|---|---|---|
| ローター位置フィードバック | 直接的、正確 | BEMF による推定 |
| 低速性能 | 素晴らしい | 限定 |
| 負荷がかかっている状態での起動 | 信頼性のある | 特別なアルゴリズムが必要 |
| 料金 | より高い | より低い |
| メンテナンス | 適度 | 低い |
| 精密用途 | 理想的 | あまり適切ではない |
| 高速動作 | 効率的 | 高効率 |
最新の BLDC モーター コントローラーは、ホール センサー データを活用して、次の ような高度な制御戦略を実装します。
フィールド指向制御 (FOC) – ローターの磁束ベクトルを制御することで、よりスムーズなトルクとより高い効率を実現します。
閉ループ速度制御 – 負荷条件が変化しても正確なモーター速度を維持します。
トルク制限 – ローターの位置と消費電流を監視することでモーターの損傷を防ぎます。
診断と予知保全– ホール センサーは、致命的な故障が発生する前に 検出するのに役立ちます 摩耗や位置ずれを 。
これらの機能は、ホール センサーが 高性能モーター制御にどのように不可欠であるかを示しています。.
BLDC モーターへのホール効果センサー統合の将来は有望です。
小型化 – センサーが小さいため、性能を犠牲にすることなく、よりコンパクトなモーター設計が可能になります。
精度の向上 – 新しいセンサー技術により、より細かい位置分解能が提供され、 よりスムーズな動作 と より低いトルクリップルが可能になります。.
ワイヤレス統合 – 高度な設計には ワイヤレス ホール センシングを組み込んで 、複雑なシステムの配線の複雑さを軽減できます。
AI 支援制御 – ホール センサー データと機械学習アルゴリズムを組み合わせることで、 モーターの効率 と 予知保全 戦略を最適化できます。
これらの進歩により、ホール効果センサーは BLDC モーター技術の基礎としてさらに強固なものとなるでしょう。.
ホール効果センサーはBLDC モーターの 基本コンポーネントであり 、正確なローター位置検出、最適化された整流、および優れた性能を可能にします。これらのセンサーは、磁場を電気信号に変換することにより、 、スムーズで効率的かつ信頼性の高いモーター動作を保証します。特に低速時や負荷が変動する場合に
その 原理、配置、信号処理、最新のコントローラーとの統合を理解することは不可欠です 達成を目指すエンジニアや設計者にとって、 モーターの最大効率と寿命の。 BLDC モーターの用途が自動車、ロボット工学、産業分野に拡大するにつれ、ホール効果センサーは 性能と信頼性の向上において重要な役割を果たし続けるでしょう.
©著作権 2025 常州JKONGMOTOR CO.、LTDすべての権利を留保します。