Zobrazení: 0 Autor: Editor webu Čas publikování: 4. 9. 2025 Původ: místo
V oblasti přesného řízení pohybu je krokový motor jedním z nejpoužívanějších a nejspolehlivějších zařízení. Překlenuje propast mezi jednoduchými elektrickými signály a přesnými mechanickými pohyby, což z něj činí klíčovou součást v automatizaci, robotice, CNC strojích a lékařských zařízeních. Na rozdíl od běžných motorů se krokové motory pohybují v diskrétních krocích, což umožňuje přesné polohování bez potřeby složitých systémů zpětné vazby.
A krokový motor je elektromechanické zařízení , které převádí elektrické impulsy na mechanickou rotaci . Namísto nepřetržitého otáčení jako standardní stejnosměrný motor se pohybuje v pevných úhlových krocích . Každý vstupní impuls má za následek pohyb rotoru o předem definovaný úhel, což umožňuje přesné řízení polohy, rychlosti a směru.
Díky tomuto systému řízení s otevřenou smyčkou jsou krokové motory ideální pro aplikace vyžadující přesné polohování bez použití zpětnovazebních senzorů.
Krokový motor je elektromechanické zařízení určené k přeměně elektrických impulsů na přesnou mechanickou rotaci. Aby toho bylo dosaženo, je sestaven z několika základních součástí, které spolupracují a zajišťují přesný pohyb krok za krokem . Níže jsou uvedeny klíčové součásti krokových motorů a jejich role:
Stator je nehybná část motoru. Skládá se z vrstvených ocelových jader s vícenásobnými elektromagnetickými cívkami (vinutími) navinutými kolem nich. Když proud protéká těmito vinutími, generují magnetická pole , která přitahují nebo odpuzují rotor a vytvářejí pohyb.
Obsahuje fáze (dvoufázové, třífázové nebo více).
Určuje krouticí moment motoru a rozlišení kroků.
Rotor je rotační součástí krokový motor . V závislosti na typu krokového motoru může být rotor:
Rotor s permanentním magnetem – se zabudovaným severním a jižním pólem.
Variabilní reluktanční rotor – vyroben z měkkého železa bez permanentních magnetů.
Hybridní rotor – kombinace permanentního magnetu a ozubeného designu pro vysokou přesnost.
Rotor se vyrovná s magnetickými poli generovanými ve statoru a vytvoří řízenou rotaci.
Hřídel je připevněna k rotoru a vyčnívá mimo plášť motoru. Přenáší rotační pohyb motoru na externí komponenty, jako jsou ozubená kola, řemenice, nebo přímo na aplikační mechanismus.
Ložiska jsou umístěna na obou koncích hřídele, aby bylo zajištěno hladké otáčení bez tření . Mechanicky podpírají hřídel, snižují opotřebení a prodlužují životnost motoru.
Rám nebo pouzdro obklopuje a podpírá všechny vnitřní součásti krokový motor . Poskytuje strukturální stabilitu, chrání před prachem a vnějším poškozením a pomáhá s odvodem tepla během provozu.
Koncové kryty jsou namontovány na obou koncích rámu motoru. Drží ložiska na místě a často mají opatření pro montáž přírub nebo spojovacích bodů pro externí systémy.
Vinutí, vyrobené z izolovaného měděného drátu, je omotané kolem pólů statoru. Když jsou napájeny v řízené sekvenci, generují měnící se magnetická pole potřebná pro pohyb rotoru krok za krokem.
Jejich konfigurace (unipolární nebo bipolární) definuje způsob pohonu motoru.
Jedná se o externí elektrické spoje , které dodávají proud z krokového ovladače do vinutí statoru. Počet vodičů (4, 5, 6 nebo 8) závisí na konstrukci a konfiguraci motoru.
Permanentní magnety jsou součástí určitých typů krokových motorů k vytvoření pevných magnetických pólů uvnitř rotoru. To zvyšuje přídržný moment a přesnost polohování.
Elektrická izolace je aplikována kolem vinutí a vnitřních částí, aby se zabránilo zkratovým , proudovým únikům a přehřátí.
Základní komponenty krokového motoru jsou stator, rotor, hřídel, ložiska, vinutí, rám a konektory , s variacemi v závislosti na tom, zda se jedná o permanentní magnet (PM), proměnnou reluktanci (VR) nebo Hybridní krokový motor. Společně tyto komponenty umožňují krokovému motoru provádět přesné pohyby, takže je ideální pro robotiku, CNC stroje, 3D tiskárny a lékařská zařízení.
Krokové motory se dodávají v různých provedeních, z nichž každý je vhodný pro specifické aplikace. Hlavní typy krokových motorů jsou klasifikovány na základě konstrukce rotoru, konfigurace vinutí a způsobu ovládání . Níže je podrobný přehled:
Používá rotor s permanentními magnety s odlišnými severními a jižními póly.
Stator má vinuté elektromagnety, které interagují s póly rotoru.
Poskytuje dobrý točivý moment při nízkých otáčkách.
Jednoduchý a cenově výhodný design.
Běžné aplikace: Tiskárny, hračky, kancelářské vybavení a nízkonákladové automatizační systémy.
Rotor je vyroben z měkkého železa bez permanentních magnetů.
Pracuje na principu minimální reluktance – rotor se srovná s pólem statoru s nejmenším magnetickým odporem.
Má rychlou odezvu , ale relativně nízký točivý moment.
Běžné aplikace: Polohovací systémy pro lehké zatížení a levné průmyslové stroje.
Kombinuje vlastnosti designu s permanentním magnetem a variabilní reluktancí .
Rotor má ozubenou konstrukci s permanentním magnetem uprostřed.
Nabízí vysoký točivý moment, lepší přesnost kroku a účinnost.
Typický úhel kroku: 1,8° (200 kroků na otáčku) nebo 0,9° (400 kroků na otáčku).
Běžné aplikace: CNC stroje, robotika, 3D tiskárny, lékařská zařízení.
Má vinutí se středovým závitem , které umožňuje proudění proudu vždy pouze jedním směrem.
vyžaduje pět nebo šest vodičů . Pro provoz
Snadnější ovládání díky jednodušším obvodům ovladače.
Ve srovnání s bipolárními motory produkuje menší točivý moment.
Běžné aplikace: Hobby elektronika, nízkovýkonové řídicí systémy pohybu.
Vinutí nemají středovou odbočku, což vyžaduje obvody s H-můstkem pro obousměrný tok proudu.
Poskytuje vyšší točivý moment ve srovnání s unipolárními motory stejné velikosti.
vyžaduje čtyři vodiče . Pro provoz
Složitější řídicí elektronika, ale efektivnější.
Běžné aplikace: Průmyslové stroje, robotika, CNC a automobilové systémy.
Vybaveno zpětnovazebními zařízeními (kodéry nebo senzory).
Opravuje zmeškané kroky a zajišťuje přesné umístění.
Spojuje jednoduchost krokového ovládání se spolehlivostí podobnou servosystémům.
Běžné aplikace: Robotika, balicí stroje a automatizační systémy vyžadující vysokou přesnost.
Lineární krokový motor – Převádí rotační pohyb přímo na lineární pohyb. Používá se v přesných lineárních pohonech.
Krokový motor s převodovkou – Integrovaný s převodovkou pro zvýšení točivého momentu a rozlišení.
Krokový motor s vysokým točivým momentem – navržený s optimalizovaným vinutím a konstrukcí pro aplikace s velkým zatížením.
Hlavní typy krokových motorů jsou:
Permanentní magnet (PM) – ekonomické, jednoduché aplikace s nízkým točivým momentem.
Variable Reluctance (VR) – rychlá odezva, nižší točivý moment, jednoduchý design.
Hybridní (HB) – vysoká přesnost, vysoký točivý moment, široce používané.
Unipolární a bipolární – klasifikované podle konfigurace vinutí.
Closed-Loop – přesný, zpětnou vazbou řízený stepper.
Každý typ má své silné stránky a omezení , díky čemuž jsou krokové motory všestranné pro aplikace v automatizaci, robotice, CNC strojích, lékařských přístrojích a kancelářském vybavení..
Krokový motor s permanentním magnetem (PM Stepper) je typ krokového motoru, který využívá rotor s permanentním magnetem a vinutý stator. Na rozdíl od krokových motorů s proměnnou reluktancí má rotor krokového motoru PM permanentní magnetické póly, které interagují s elektromagnetickým polem statoru a vytvářejí přesné rotační kroky. Tato konstrukce umožňuje motoru generovat vyšší točivý moment při nízkých rychlostech ve srovnání s jinými typy krokových motorů.
PM steppery jsou známé svou jednoduchostí, spolehlivostí a hospodárností . Obvykle pracují s úhly kroku v rozmezí od 7,5° do 15°, což poskytuje střední přesnost pro polohovací aplikace. Protože nevyžadují kartáče nebo zpětnovazební systémy, jsou tyto motory nenáročné na údržbu a mají dlouhou životnost, ačkoli jejich rozlišení není tak jemné jako u hybridních krokových motorů.
V praktickém použití jsou krokové motory s permanentními magnety široce používány v tiskárnách, malé robotice, lékařských zařízeních a spotřební elektronice . Jsou zvláště užitečné v aplikacích, kde je vyžadováno přesné, ale mírné řízení, bez potřeby složitých řídicích systémů. Jejich rovnováha mezi cenovou dostupností, kroutícím momentem a jednoduchostí z nich dělá oblíbenou volbu pro základní řešení řízení pohybu.
Krokový motor s proměnnou reluktancí (VR Stepper) je typ krokového motoru, který používá nemagnetizovaný rotor s více zuby z měkkého železa. Stator má několik cívek, které jsou postupně napájeny a vytvářejí magnetické pole, které stahuje nejbližší zuby rotoru do jedné polohy. Pokaždé, když se pole statoru posune, rotor se přesune do další stabilní polohy a vytvoří přesný krok. Na rozdíl od stepperů s permanentními magnety samotný rotor neobsahuje magnety.
VR steppery jsou ceněny pro své velmi malé úhly kroku , často jen 1,8° nebo dokonce menší, což umožňuje polohování s vysokým rozlišením. Jsou také lehké a jejich výroba je levná, protože nejsou potřeba žádné permanentní magnety. Obecně však produkují nižší točivý moment ve srovnání s permanentními magnety a hybridními krokovými motory a jejich chod může být méně plynulý při nízkých otáčkách.
V reálných aplikacích se krokové motory s proměnnou reluktancí běžně vyskytují v tiskárnách, přístrojové technice, robotice a lehkých polohovacích systémech . Jsou zvláště užitečné tam, kde je jemné úhlové rozlišení důležitější než výstup točivého momentu. Díky své jednoduché konstrukci a přesnému kroku jsou krokové pedály VR praktickým řešením pro cenově citlivé konstrukce, které vyžadují přesnost při řízení pohybu.

A Hybridní krokový motor (HB Stepper) kombinuje výhody krokových motorů s permanentním magnetem (PM) a s proměnnou reluktancí (VR). Jeho rotor má jádro s permanentním magnetem s ozubenými strukturami, zatímco stator také obsahuje zuby zarovnané tak, aby odpovídaly rotoru. Tato konstrukce umožňuje, aby byl rotor silně přitahován k elektromagnetickému poli statoru, což má za následek jak vyšší točivý moment, tak jemnější krokové rozlišení ve srovnání se samotnými krokovými motory PM nebo VR.
HB steppery obvykle nabízejí úhly kroku 0,9° až 3,6° , díky čemuž jsou vysoce přesné pro polohovací aplikace. Poskytují také plynulejší pohyb a lepší točivý moment při vyšších rychlostech než PM steppery, při zachování dobré přesnosti. Přestože jsou složitější a nákladnější na výrobu, jejich výkonnostní rovnováha mezi točivým momentem, rychlostí a rozlišením z nich dělá jeden z nejrozšířenějších typů krokových motorů.
V praxi se hybridní krokové motory používají v CNC strojích, 3D tiskárnách, robotice, lékařském vybavení a průmyslových automatizačních systémech . Jejich spolehlivost, účinnost a všestrannost je činí ideálními pro náročné aplikace, kde je rozhodující přesné ovládání a konzistentní výkon. To je důvod, proč jsou HB krokové motory často považovány za průmyslový standard pro technologii krokových motorů.
A Bipolární krokový motor je typ krokového motoru, který používá jediné vinutí na fázi, přičemž proud protéká cívkami v obou směrech. K dosažení tohoto obousměrného proudu je zapotřebí budicí obvod H-můstku, díky čemuž je řízení o něco složitější ve srovnání s unipolárními krokovými motory. Tato konstrukce eliminuje potřebu vinutí se středovým závitem, což umožňuje využít celou cívku pro generování točivého momentu.
Protože je vždy zapojeno plné vinutí, bipolární krokové motory poskytují vyšší točivý moment a lepší účinnost než unipolární krokové motory stejné velikosti. Mají také tendenci mít plynulejší pohyb a lepší výkon při vyšších rychlostech, díky čemuž jsou vhodné pro aplikace, které vyžadují náročnější ovládání pohybu. Kompromisem je však zvýšená složitost v jízdní elektronice.
V reálném světě jsou bipolární krokové motory široce používány v CNC strojích, 3D tiskárnách, robotice a průmyslových automatizačních systémech . Jejich schopnost poskytovat silný točivý moment a spolehlivý výkon z nich dělá preferovanou volbu v přesných systémech, kde je nezbytný výkon a hladký provoz. Navzdory potřebě pokročilejších ovladačů jejich výkonnostní výhody často převažují nad přidanou složitostí.

A Unipolární krokový motor je typ krokového motoru, který má středový kohout na každém vinutí a účinně rozděluje cívku na dvě poloviny. Nabuzením jedné poloviny vinutí najednou teče proud vždy jedním směrem (odtud název 'unipolární'). To zjednodušuje řídicí elektroniku, protože nevyžaduje reverzaci proudu nebo obvody H-můstku, což usnadňuje ovládání unipolárních motorů.
Kompromisem této konstrukce je, že se současně používá pouze polovina každé cívky, což znamená nižší točivý moment a účinnost ve srovnání s bipolárními krokovými motory stejné velikosti. Jednodušší řídicí obvody a snížené riziko přehřátí cívky však činí unipolární krokové motory oblíbenými v aplikacích, kde na ceně, jednoduchosti a spolehlivosti záleží více než na maximálním točivém momentu.
V praxi se unipolární krokové motory běžně používají v tiskárnách, skenerech, malé robotice a amatérských elektronických projektech . Jsou zvláště vhodné pro aplikace s nízkým až středním výkonem, kde je zapotřebí přímé ovládání a předvídatelný pohyb kroků. Navzdory jejich omezení točivého momentu, jejich jednoduchost a cenová dostupnost z nich činí dobrou volbu pro mnoho základních systémů řízení pohybu.
Krokový motor s uzavřenou smyčkou je systém krokového motoru vybavený zpětnovazebním zařízením, jako je kodér nebo snímač, které nepřetržitě monitoruje polohu a rychlost motoru. Na rozdíl od krokových kroků s otevřenou smyčkou, které se spoléhají pouze na povelové impulsy, systémy s uzavřenou smyčkou porovnávají skutečný výkon motoru s přikázaným vstupem a opravují případné chyby v reálném čase. To zabraňuje problémům, jako jsou zmeškané kroky, a zajišťuje vyšší spolehlivost.
Se zpětnou vazbou na místě Krokové motory s uzavřenou smyčkou nabízejí vyšší přesnost, plynulejší pohyb a lepší využití točivého momentu v širokém rozsahu otáček. Pracují také efektivněji, protože řídicí jednotka může dynamicky upravovat proud, čímž se snižuje tvorba tepla ve srovnání se systémy s otevřenou smyčkou. V mnoha ohledech kombinují přesnost krokových motorů s některými výhodami servosystémů.
Krokové motory s uzavřenou smyčkou jsou široce používány v CNC strojích, robotice, balicích zařízeních a automatizačních systémech , kde je rozhodující přesné polohování a spolehlivý výkon. Jejich schopnost eliminovat skokovou ztrátu a zároveň zlepšit efektivitu je činí ideálními pro náročné aplikace, které vyžadují přesnost i spolehlivost.

Zde je přehledná srovnávací tabulka mezi bipolárními krokovými motory a unipolárními krokovými motory :
| Funkce | Bipolární krokový motor | Unipolární krokový motor |
|---|---|---|
| Design vinutí | Jedno vinutí na fázi (žádný středový kohout) | Každá fáze má středový kohout (rozdělený na dvě poloviny) |
| Aktuální směr | Proud teče oběma směry (vyžaduje reverzaci) | Proud teče pouze jedním směrem |
| Požadavek na řidiče | Vyžaduje ovladač H-můstku pro obousměrný proud | Jednoduchý ovladač, není potřeba H-můstek |
| Výstup točivého momentu | Vyšší kroutící moment, protože je využito plné vinutí | Nižší točivý moment, protože se používá pouze poloviční vinutí |
| Účinnost | Účinnější | Méně efektivní |
| Hladkost | Hladší pohyb a lepší vysokorychlostní výkon | Méně plynulé při vyšších rychlostech |
| Složitost ovládání | Složitější řídicí obvody | Jednodušší na ovládání |
| Náklady | Mírně vyšší (kvůli požadavkům řidiče) | Nižší (jednoduchý ovladač a design) |
| Běžné aplikace | CNC stroje, 3D tiskárny, robotika, automatizace | Tiskárny, skenery, malá robotika, hobby projekty |
Krokový motor funguje tak, že převádí elektrické impulsy na řízenou mechanickou rotaci . Na rozdíl od konvenčních motorů, které se při použití energie točí nepřetržitě, se krokový motor pohybuje v diskrétních úhlových krocích . Díky tomuto jedinečnému chování je velmi vhodný pro aplikace, kde přesnost, opakovatelnost a přesnost . je nezbytná
Provoz a Krokový motor je založen na elektromagnetismu . Když proud protéká statorovými vinutími , generují magnetická pole . Tato pole přitahují nebo odpuzují rotor , který je navržen s permanentními magnety nebo zuby z měkkého železa. Přivedením energie do cívek ve specifické sekvenci je rotor nucen pohybovat se krok za krokem v synchronizaci se vstupními signály.
Krokový ovladač vysílá elektrické impulsy do vinutí motoru.
Každý impuls odpovídá jednomu přírůstkovému pohybu (nebo 'kroku').
Nabité cívky ve statoru vytvářejí magnetické pole.
Rotor se vyrovná s tímto magnetickým polem.
Ovladač napájí další sadu cívek v pořadí.
To posune magnetické pole a přitáhne rotor do nové polohy.
S každým vstupním impulsem se rotor posune o krok vpřed.
Nepřetržitý proud pulzů způsobuje nepřetržité otáčení.
Krokový úhel je stupeň rotace, kterou motor udělá na krok.
Typické úhly kroku: 0,9° (400 kroků na otáčku) nebo 1,8° (200 kroků na otáčku).
Čím menší je úhel kroku , tím vyšší je rozlišení a přesnost.
Krokové motory jsou všestranná zařízení, která mohou být poháněna v různých režimech buzení v závislosti na řídicích signálech aplikovaných na jejich vinutí. Každý režim ovlivňuje úhel kroku, krouticí moment, plynulost a přesnost pohybu motoru. Nejběžnější provozní režimy jsou Full-Step, Half-Step a Microstepping.
V režimu plného kroku se motor pohne o jeden celý krokový úhel (např. 1,8° nebo 0,9°) pro každý vstupní impuls. Existují dva způsoby, jak dosáhnout úplného vzrušení:
Jednofázové buzení: Vždy je napájeno pouze jedno fázové vinutí.
Výhoda: Nižší spotřeba energie.
Nevýhoda: Nižší točivý moment.
Dvoufázové buzení: Dvě sousední fázová vinutí jsou napájena současně.
Výhoda: Vyšší točivý moment a lepší stabilita.
Nevýhoda: Vyšší spotřeba.
Aplikace: Základní polohovací úlohy, tiskárny, jednoduchá robotika.
V polovičním chodu motor střídavě napájí jednu fázi a dvě fáze najednou. Tím se efektivně zdvojnásobí rozlišení snížením úhlu kroku na polovinu.
Příklad: Motor s 1,8° plným krokem bude mít 0,9° na poloviční krok.
Vytváří plynulejší pohyb ve srovnání s režimem plného kroku.
Točivý moment je o něco nižší než v plném dvoufázovém režimu, ale vyšší než v jednofázovém režimu.
Aplikace: Robotika, CNC stroje a systémy vyžadující vyšší rozlišení bez složitého ovládání.
Mikrokrokování je nejpokročilejší režim buzení, kde je proud ve vinutí motoru řízen v sinusových nebo jemně dělených krocích . Namísto pohybu o jeden celý nebo poloviční krok najednou se rotor pohybuje ve zlomkových krocích (např. 1/8, 1/16, 1/32 kroku).
Poskytuje velmi plynulé otáčení s minimálními vibracemi.
Výrazně snižuje problémy s rezonancí.
Zvyšuje rozlišení a přesnost polohy.
Vyžaduje pokročilejší ovladače a řídicí elektroniku.
Aplikace: Vysoce přesné aplikace, jako jsou 3D tiskárny, lékařská zařízení, optická zařízení a robotika.
, který se někdy považuje za variaci režimu plného kroku, Vlnový pohon napájí vždy pouze jednu cívku.
Velmi jednoduché na implementaci.
Spotřebovává méně energie.
Produkuje nejnižší točivý moment ze všech režimů.
Aplikace: Aplikace s nízkým točivým momentem, jako jsou indikátory, číselníky nebo lehké polohovací systémy.
| Režim | Krok Velikost | Kroutící moment | Hladkost | Spotřeba energie |
|---|---|---|---|---|
| Wave Drive | Úplný krok | Nízký | Mírný | Nízký |
| Úplný krok | Úplný krok | Střední až vysoká | Mírný | Střední až vysoká |
| Polokrok | Půlkrok | Střední | Lepší než plný | Střední |
| Mikrokrokování | Zlomkové | Variabilní (nižší vrchol, ale hladší) | Vynikající | Vysoká (závisí na řidiči) |
Zvolený režim provozu pro krokový motor závisí na požadavcích aplikace :
Použijte Wave Drive nebo Full-Step pro jednoduché a levné systémy.
Použijte Half-Step , když je potřeba vyšší rozlišení bez složité elektroniky.
Použijte Microstepping pro nejvyšší přesnost, hladkost a profesionální aplikace.
Výkon a ovládání krokového motoru do značné míry závisí na tom, jak jsou jeho vinutí (cívky) uspořádány a zapojeny. Konfigurace určuje počet vodičů , způsob pohonu a charakteristiky točivého momentu/otáčky . Dvě hlavní konfigurace vinutí jsou unipolární a bipolární , ale existují různé varianty v závislosti na konstrukci motoru.
Struktura: Každé fázové vinutí má středový kohout , který jej rozděluje na dvě poloviny.
Zapojení: Obvykle se dodává s 5, 6 nebo 8 vodiči.
Provoz: Proud protéká vždy jen polovinou vinutí vždy ve stejném směru (odtud název unipolární ). Driver přepíná proud mezi polovinami cívky.
Jednoduché řídicí obvody.
Jednodušší na ovládání.
Najednou je využita pouze polovina vinutí → nižší točivý moment oproti bipolárním motorům stejné velikosti.
Aplikace: Nízkoenergetická elektronika, tiskárny a jednoduché automatizační systémy.
Struktura: Každá fáze má jedno nepřetržité vinutí bez středového kohoutu.
Zapojení: Obvykle se dodává se 4 vodiči (dva na fázi).
Provoz: Proud musí procházet v obou směrech cívkami, což vyžaduje budič H-můstku . Vždy jsou využity obě poloviny cívky, což poskytuje silnější výkon.
Poskytuje vyšší točivý moment než unipolární.
Efektivnější využití vinutí.
Vyžaduje složitější obvod ovladače.
Aplikace: CNC stroje, robotika, 3D tiskárny a průmyslové stroje.
Obvykle unipolární motor se všemi středovými odbočkami interně připojenými k jednomu vodiči.
Jednoduché zapojení, ale méně flexibilní.
Běžné v aplikacích citlivých na náklady, jako jsou malé tiskárny nebo kancelářské vybavení.
Unipolární motor se samostatnými středovými odbočkami pro každé vinutí.
Může být použit v unipolárním režimu (se všemi 6 vodiči) nebo přepojen jako bipolární motor (ignorováním středových odboček).
Nabízí flexibilitu v závislosti na systému ovladače.
Nejuniverzálnější konfigurace.
Každé vinutí je rozděleno do dvou samostatných cívek, což poskytuje několik možností zapojení:
Unipolární spojení
Bipolární sériové připojení (vyšší točivý moment, nižší rychlost)
Bipolární paralelní připojení (vyšší rychlost, nižší indukčnost)
Výhoda: Poskytuje nejlepší flexibilitu při kompromisu točivého momentu a rychlosti.
| Konfigurace | Vodiče | Složitost | měniče Krouticí moment Výstupní | flexibilita |
|---|---|---|---|---|
| Unipolární | 5 nebo 6 | Jednoduchý | Střední | Nízká až střední |
| Bipolární | 4 | Komplex (H-Bridge) | Vysoký | Střední |
| 6-drát | 6 | Střední | Středně vysoká | Střední |
| 8-drát | 8 | Komplex | Velmi vysoká | Velmi vysoká |
Konfigurace vinutí krokového motoru přímo ovlivňuje jeho výkon, způsob ovládání a rozsah použití :
Unipolární motory jsou jednodušší, ale poskytují menší točivý moment.
Bipolární motory jsou výkonnější a účinnější, ale potřebují pokročilejší ovladače.
6vodičové a 8vodičové motory nabízejí flexibilitu pro přizpůsobení různým systémům ovladačů a potřebám výkonu.
Krokové motory jsou široce používány pro přesné řízení pohybu a jejich výkon lze vypočítat pomocí několika základních vzorců. Tyto rovnice pomáhají inženýrům určit úhel kroku, rozlišení, rychlost a točivý moment.
Krokový úhel je úhel, o který se hřídel motoru otočí pro každý vstupní impuls.

Kde:
θs = Krokový úhel (stupně na krok)
Ns = Počet fází statoru (nebo pólů vinutí)
m = Počet zubů rotoru
Příklad:
Pro motor se 4 fázemi statoru a 50 zuby rotoru :

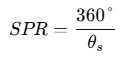
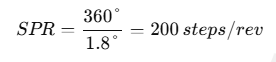
Počet kroků, které motor vykoná na jedno úplné otočení hřídele:

Kde:
SPR = Kroky na otáčku
θs = Úhel kroku
Příklad:
Pokud úhel kroku = 1,8°:

Rozlišení je nejmenší pohyb a Krokový motor může udělat krok.

Pokud motor pohání vodící šroub nebo řemenový systém:

Kde:
Lead = Lineární zdvih na otáčku šroubu nebo řemenice (mm/ot.).
Rychlost krokového motoru závisí na pulzní frekvenci : použité

Kde:
N = rychlost v ot./min
f = Pulzní frekvence (Hz nebo pulzy/s)
SPR = Kroky na otáčku
Příklad:
Pokud frekvence pulzu = 1000 Hz, SPR = 200:

Požadovaná frekvence pulzů pro provoz motoru při dané rychlosti:

Kde:
f = frekvence (Hz)
N = rychlost v ot./min
SPR = Kroky na otáčku
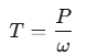
Točivý moment závisí na proudu motoru a charakteristikách vinutí. Zjednodušený výraz:

Kde:
T = točivý moment (Nm)
P = výkon (W)
ω = úhlová rychlost (rad/s)
Úhlová rychlost:


Kde:
P = elektrický příkon (W)
V = napětí aplikované na vinutí (V)
I = proud na fázi (A)
Krokové motory se staly základním kamenem moderních systémů řízení pohybu a nabízejí bezkonkurenční přesnost, opakovatelnost a spolehlivost v celé řadě průmyslových odvětví. Na rozdíl od běžných stejnosměrných nebo střídavých motorů jsou krokové motory navrženy tak, aby se pohybovaly v diskrétních krocích, což z nich činí ideální volbu pro aplikace, kde je kritické řízené polohování.
Níže prozkoumáme klíčové výhody . Krokový motors podrobně
Jednou z nejpozoruhodnějších výhod krokových motorů je jejich schopnost dosáhnout přesného polohování bez potřeby zpětnovazebního systému . Každý vstupní impuls odpovídá pevnému úhlovému natočení, což umožňuje přesnou kontrolu nad pohybem hřídele.
V základních systémech s otevřenou smyčkou není vyžadován žádný kodér nebo snímač.
Vynikající opakovatelnost v aplikacích, jako jsou CNC stroje, 3D tiskárny a robotika.
Úhly kroku až 0,9° nebo 1,8° , umožňující tisíce kroků na otáčku.
Krokové motory vynikají v aplikacích, kde opakované, identické pohyby . jsou nezbytné Jakmile jsou naprogramovány, mohou konzistentně reprodukovat stejnou dráhu nebo pohyb.
Perfektní pro stroje typu pick-and-place.
Nezbytné pro lékařské přístroje, polovodičové vybavení a textilní stroje.
Vysoká opakovatelnost snižuje chyby v automatizovaných výrobních procesech.
Krokové motory fungují efektivně v řídicích systémech s otevřenou smyčkou , což eliminuje potřebu nákladných zpětnovazebních zařízení.
Zjednodušená elektronika ve srovnání se servomotory.
Nižší celkové náklady na systém.
Ideální pro řešení automatizace citlivá na rozpočet, aniž by byla ohrožena spolehlivost.
Když jsou aplikovány vstupní impulsy, krokové motory reagují okamžitě , zrychlují, zpomalují nebo mění směr bez zpoždění.
Rychlá odezva umožňuje ovládání v reálném čase.
Vysoká synchronizace s digitálními řídicími signály.
Široce se používá v robotických ramenech, automatizovaných inspekcích a kamerových polohovacích systémech.
Krokové motory nemají žádné kartáče ani kontaktní součásti , což výrazně snižuje opotřebení. Jejich design přispívá k:
Dlouhá životnost s minimální údržbou.
Vysoká spolehlivost v průmyslovém prostředí.
Hladký výkon v nepřetržitém provozu.
Na rozdíl od mnoha konvenčních motorů Krokové motory poskytují maximální točivý moment při nízkých otáčkách . Tato funkce je činí extrémně účinnými pro aplikace vyžadující pomalý a silný pohyb.
Vhodné pro přesné obráběcí a podávací mechanismy.
Eliminuje potřebu složité redukce převodů v některých systémech.
Spolehlivý točivý moment i při nulových otáčkách (přídržný moment).
Když jsou krokové motory pod napětím, mohou pevně držet svou polohu i bez pohybu. Tato funkce je zvláště cenná pro aplikace vyžadující stabilní polohu při zatížení.
Nezbytné pro výtahy, lékařské infuzní pumpy a extrudéry 3D tiskáren.
Zabraňuje mechanickému posunu bez kontinuálního pohybu.
Krokové motory lze provozovat v širokém spektru rychlostí, od velmi nízkých otáček až po vysokorychlostní otáčky, s konzistentním výkonem.
Vhodné pro skenovací zařízení, dopravníky a textilní zařízení.
Udržuje efektivitu při různých pracovních zátěžích.
Od Krokové motory jsou poháněny impulsy a hladce se integrují s mikrokontroléry, PLC a řídicími systémy na bázi počítače.
Snadné propojení s Arduino, Raspberry Pi a průmyslovými ovladači.
Přímá kompatibilita s moderními automatizačními technologiemi.
Ve srovnání s jinými řešeními řízení pohybu, jako jsou servosystémy, nabízejí krokové motory nákladově efektivní rovnováhu přesnosti, spolehlivosti a jednoduchosti..
Snížená potřeba kodérů nebo zpětnovazebních zařízení.
Nižší náklady na údržbu a instalaci.
Dostupné pro aplikace v malém i průmyslovém měřítku.
Výhody krokových motorů – včetně přesného polohování, provozu s otevřenou smyčkou, vynikající opakovatelnosti a vysoké spolehlivosti – z nich činí preferovanou volbu pro průmyslová odvětví vyžadující řízený pohyb . Od robotiky a automatizace až po lékařské a textilní stroje, jejich schopnost poskytovat přesný, spolehlivý a nákladově efektivní výkon zajišťuje, že krokové motory zůstávají v moderním strojírenství nepostradatelné.
Krokové motory jsou široce používány v různých aplikacích díky jejich přesnému ovládání a spolehlivosti. Navzdory svým výhodám však krokové motory mají řadu nevýhod , které musí inženýři, konstruktéři a technici pečlivě zvážit při jejich výběru pro projekty. Pochopení těchto omezení je zásadní pro zajištění optimálního výkonu a předcházení potenciálním poruchám v průmyslových i spotřebitelských aplikacích.
Jednou z nejvýznamnějších nevýhod a Krokový motor je jeho snížený točivý moment při vysokých otáčkách . Krokové motory fungují tak, že se postupně pohybují po krocích a jak se zvyšuje rychlost provozu, točivý moment výrazně klesá. Tento jev je výsledkem vlastní indukčnosti motoru a zpětného EMF , které omezují tok proudu vinutím při vyšších rychlostech otáčení. V důsledku toho mohou aplikace, které vyžadují vysokorychlostní rotaci při zachování konzistentního točivého momentu, považovat krokové motory za nevhodné, což často vyžaduje použití servomotorů nebo převodových systémů pro kompenzaci tohoto omezení.
Krokové motory jsou náchylné k rezonanci a vibracím , zejména při určitých rychlostech, kdy se mechanická rezonance shoduje s frekvencí kroku. To může vést ke ztrátě kroků , nežádoucímu hluku a dokonce i potenciálnímu poškození motoru nebo připojených komponent. Rezonance se může stát zvláště problematickou v aplikacích vyžadujících hladký pohyb, jako jsou CNC stroje, 3D tiskárny a robotická ramena , kde je přesnost prvořadá. Zmírnění těchto vibrací často vyžaduje mikrokrokování, tlumicí mechanismy nebo pečlivý výběr provozních rychlostí , což zvyšuje složitost a náklady celého systému.
Ve srovnání se stejnosměrnými motory nebo bezkomutátorovými motory vykazují krokové motory nižší energetickou účinnost . Spotřebovávají trvalý proud, i když jsou v klidu, aby udržely přídržný moment, což má za následek konstantní odběr energie . Tato nepřetržitá spotřeba energie může vést k vyšší produkci tepla , což vyžaduje další řešení chlazení. V bateriově napájených nebo energeticky citlivých aplikacích může tato neefektivita výrazně zkrátit provozní dobu nebo zvýšit provozní náklady. Kromě toho může neustálá spotřeba energie také přispívat k rychlejšímu opotřebení elektroniky řidiče , což dále ovlivňuje životnost systému.
Krokové motory mají omezený rozsah provozních otáček . Zatímco vynikají v nízkorychlostních přesných aplikacích, jejich výkon rychle klesá při vyšších otáčkách v důsledku snížení točivého momentu a zvýšeného přeskakování kroků. Pro průmyslová odvětví, která vyžadují jak vysokorychlostní, tak vysoce přesný pohyb , jako jsou automatizované montážní linky nebo textilní stroje , nemusí krokové motory poskytovat potřebnou všestrannost. Toto omezení často nutí inženýry uvažovat o hybridních řešeních kombinující technologii krokování a servomotoru, což může zvýšit složitost systému a zvýšit náklady.
Dovnitř teče nepřetržitý proud Krokové motory vedou k podstatnému vývinu tepla . Bez adekvátního chlazení mohou vinutí motoru dosáhnout teplot, které zhoršují izolaci , snižují výstupní točivý moment a v konečném důsledku zkracují životnost motoru. Efektivní tepelný management je nezbytný, zejména v kompaktních nebo uzavřených instalacích, kde je rozptyl tepla omezený. Techniky, jako jsou chladiče, nucené chlazení vzduchem nebo snížené pracovní cykly, jsou často nezbytné ke zmírnění rizik přehřátí, což inženýrům přidává další konstrukční úvahy.
Přestože jsou krokové motory známé pro přesné řízení polohy, mohou při nadměrné zátěži nebo mechanickém namáhání ztrácet kroky . Na rozdíl od systémů s uzavřenou smyčkou standardní krokové motory neposkytují zpětnou vazbu o aktuální poloze rotoru. V důsledku toho může být jakákoli ztráta kroku nezjištěna , což vede k nepřesnému umístění a provozním chybám. Tato nevýhoda je kritická u vysoce přesných aplikací, jako jsou lékařská zařízení, laboratorní vybavení a CNC obrábění , kde i malá odchylka polohy může ohrozit funkčnost nebo bezpečnost.
Krokové motory často produkují slyšitelný hluk a vibrace kvůli krokovému charakteru jejich pohybu. To může být problematické v prostředích vyžadujících tichý provoz , jako jsou kanceláře, laboratoře nebo zdravotnická zařízení . Úrovně hluku se zvyšují s rychlostí a zatížením a zmírnění těchto problémů obvykle vyžaduje mikrokrokovací ovladače nebo pokročilé řídicí algoritmy , což dále komplikuje návrh systému.
Zatímco Krokový motors poskytuje přiměřený točivý moment při nízkých rychlostech, točivý moment může vykazovat značné zvlnění, pokud je provozován bez mikrokrokování. Zvlnění točivého momentu se týká kolísání točivého momentu během každého kroku, což může způsobit trhavý pohyb a snížit hladkost . To je zvláště patrné v aplikacích vyžadujících plynulý pohyb , jako jsou posuvné kamery, robotické manipulátory a přesné přístroje . Dosažení plynulejšího pohybu obecně vyžaduje složité techniky řízení , což zvyšuje náklady na systém i složitost ovládání.
Zvýšení točivého momentu u krokových motorů obvykle vyžaduje větší velikosti motorů nebo vyšší jmenovité hodnoty proudu . To může představovat prostorová omezení v kompaktních aplikacích, jako jsou 3D tiskárny, malá robotika nebo přenosná zařízení , kde jsou prostor a hmotnost kritické. Vyšší proudové požadavky navíc vyžadují robustnější ovladače a napájecí zdroje , což potenciálně zvyšuje celkovou stopu a náklady na systém.
Krokové motory se potýkají s velkým setrvačným zatížením , kde je vyžadováno rychlé zrychlení nebo zpomalení. Nadměrná setrvačnost může způsobit přeskakování nebo zablokování kroku , což ohrozí spolehlivost ovládání pohybu. U těžkých průmyslových strojů nebo aplikací s proměnlivými podmínkami zatížení mohou být krokové motory méně spolehlivé než servo řešení , která nabízejí zpětnou vazbu s uzavřenou smyčkou pro dynamické nastavení točivého momentu a udržení přesné kontroly.
I když Krokový motors je sama o sobě relativně levná, elektronika ovladače může být složitá a nákladná, zvláště když mikrokrokování nebo omezování proudu . jsou implementovány pokročilé řídicí techniky, jako je Tyto ovladače jsou nezbytné pro maximalizaci výkonu, snížení vibrací a zabránění přehřívání. Potřeba sofistikovaných ovladačů zvyšuje náklady na systém, složitost návrhu a požadavky na údržbu , takže krokové motory jsou méně přitažlivé pro cenově citlivé nebo zjednodušené aplikace.
Zatímco krokové motory jsou neocenitelné pro nízkorychlostní a vysoce přesné aplikace , jejich nevýhody – včetně omezeného točivého momentu při vysokých otáčkách, problémů s rezonancí, generování tepla, hluku a možnosti chybných kroků . je třeba pečlivě zvážit Výběr krokového motoru vyžaduje vyvážení jeho výhod přesnosti s provozními omezeními. Po pochopení těchto omezení mohou inženýři implementovat vhodné řídicí strategie, řešení chlazení a techniky řízení zátěže pro optimalizaci výkonu a spolehlivosti v náročných aplikacích.
Krokové motory jsou známé pro svou přesnost, spolehlivost a snadné ovládání v mnoha průmyslových a spotřebitelských aplikacích. Jejich výkon a účinnost však do značné míry závisí na technologii ovladače použité k jejich ovládání. Ovladače krokových motorů jsou specializovaná elektronická zařízení, která řídí proud, napětí, krokový režim a rychlost otáčení . Pochopení technologie ovladače je zásadní pro dosažení optimálního výkonu, prodloužené životnosti motoru a hladkého provozu.
Ovladač krokového motoru funguje jako rozhraní mezi řídicím systémem a krokovým motorem . Přijímá krokové a směrové signály z ovladače nebo mikrokontroléru a převádí je na přesné proudové impulsy , které napájejí vinutí motoru. Ovladače hrají zásadní roli při řízení točivého momentu, rychlosti, přesnosti polohy a odvodu tepla , které jsou kritické v aplikacích, jako jsou CNC stroje, 3D tiskárny, robotika a automatizační systémy..
Moderní ovladače krokových motorů primárně používají dva typy řídicích schémat : unipolární ovladače a bipolární ovladače . Zatímco unipolární měniče jsou jednodušší a snadněji implementovatelné, bipolární měniče nabízejí vyšší točivý moment a efektivnější provoz . Výběr ovladače ovlivňuje výkon, přesnost a spotřebu energie krokového motoru.
L/R ovladače jsou nejjednodušším typem ovladače krokových motorů . Přivádějí pevné napětí na vinutí motoru a spoléhají na indukčnost (L) a odpor (R) vinutí pro řízení nárůstu proudu. I když jsou tyto ovladače levné a snadno implementovatelné, mají omezený vysokorychlostní výkon , protože proud nemůže při vyšších krokových rychlostech stoupat dostatečně rychle. L/R měniče jsou vhodné pro nízkorychlostní a levné aplikace , ale nejsou ideální pro vysoce výkonné nebo vysoce přesné systémy.
Ovladače chopperů jsou sofistikovanější a široce používané v moderních aplikacích. Regulují proud vinutím motoru a udržují konstantní proud bez ohledu na kolísání napětí nebo otáčky motoru . Rychlým zapínáním a vypínáním napětí (pulzně-šířková modulace) mohou měniče chopperu dosáhnout vysokého točivého momentu i při vysokých rychlostech a snížit tvorbu tepla. Mezi vlastnosti ovladačů vrtulníku patří:
Schopnost mikrokrokování : Umožňuje plynulejší pohyb a snižuje vibrace.
Nadproudová ochrana : Zabraňuje poškození motoru v důsledku nadměrného zatížení.
Nastavitelné nastavení proudu : Optimalizuje spotřebu energie a snižuje zahřívání.
Mikrokrokovací ovladače rozdělují každý celý krok motoru na menší, diskrétní kroky , typicky 8, 16, 32 nebo dokonce 256 mikrokroků na plnou otáčku. Tento přístup poskytuje plynulejší pohyb, snížené vibrace a vyšší polohové rozlišení . Microstepping drivery jsou zvláště výhodné v aplikacích vyžadujících ultra-přesný pohyb , jako jsou optické přístroje, robotická ramena a lékařské vybavení . Zatímco mikrokrokování zvyšuje výkon, vyžaduje pokročilejší elektroniku ovladače a kvalitnější řídicí signály.
Integrované ovladače kombinují elektroniku ovladače a řídicí obvody v jediném kompaktním modulu , což zjednodušuje instalaci a snižuje složitost kabeláže. Tyto ovladače často zahrnují:
Vestavěná regulace proudu a ochrana proti přehřátí
Pulzní vstup pro krokové a směrové signály
Podpora mikrokrokování pro přesné ovládání
Integrované ovladače jsou ideální pro prostorově omezené aplikace nebo projekty, kde snadná instalace a menší počet externích komponent . je prioritou
Inteligentní krokové ovladače využívají systémy zpětné vazby, jako jsou enkodéry, ke sledování polohy a rychlosti motoru, čímž vytvářejí řídicí systém s uzavřenou smyčkou . Tyto ovladače kombinují jednoduchost krokového motoru s přesností servomotoru, což umožňuje detekci chyb, automatickou korekci a lepší využití točivého momentu . Mezi výhody patří:
Eliminace zmeškaných kroků
Dynamické nastavení točivého momentu na základě zatížení
Zvýšená spolehlivost ve vysoce přesných aplikacích
Inteligentní ovladače jsou užitečné zejména v průmyslové automatizaci, robotice a CNC aplikacích , kde je spolehlivost a přesnost rozhodující.
Moderní ovladače krokových motorů nabízejí řadu funkcí, které zvyšují výkon, efektivitu a uživatelské ovládání . Mezi nejdůležitější funkce patří:
Omezení proudu : Zabraňuje přehřátí a zajišťuje optimální točivý moment.
Interpolace kroků : Vyhlazuje pohyb mezi kroky, aby se snížily vibrace a hluk.
Ochrana proti přepětí a podpětí : Chrání elektroniku motoru a řidiče.
Thermal Management : Monitoruje teplotu a snižuje proud, pokud dojde k přehřátí.
Programovatelné profily zrychlení/zpomalení : Poskytuje přesné ovládání náběhu motoru pro hladší provoz.
Výběr vhodného ovladače vyžaduje zvážení charakteristik zatížení, požadavků na přesnost, provozní rychlosti a podmínek prostředí . Mezi klíčové faktory, které je třeba zvážit, patří:
Požadavky na krouticí moment a rychlost : Vysokorychlostní aplikace vyžadují chopper nebo mikrokrokovací ovladače.
Přesnost a plynulost : Mikrokrokování nebo inteligentní ovladače zvyšují přesnost polohy a plynulost pohybu.
Tepelná omezení : Ovladače s účinným řízením tepla prodlužují životnost motoru a měniče.
Integrace a prostorová omezení : Integrované ovladače snižují složitost kabeláže a šetří místo.
Nutnost zpětné vazby : Ovladače s uzavřenou smyčkou jsou ideální pro aplikace vyžadující detekci a opravu chyb.
Pečlivým vyhodnocením těchto faktorů mohou inženýři maximalizovat výkon krokového motoru, snížit spotřebu energie a zlepšit spolehlivost v celé řadě aplikací.
Technologie ovladačů krokových motorů se výrazně vyvinula a přešla od jednoduchých ovladačů L/R k inteligentním systémům s uzavřenou smyčkou, které jsou schopné zvládnout složité požadavky na pohyb. Výběr ovladače přímo ovlivňuje točivý moment, rychlost, přesnost a tepelný výkon , což z něj činí jeden z nejkritičtějších aspektů aplikací krokových motorů. Pochopení typů ovladačů, funkcí a jejich vhodného použití umožňuje inženýrům optimalizovat systémy krokových motorů pro efektivitu, spolehlivost a dlouhodobý výkon..
Krokové motory jsou základními součástmi moderní automatizace, robotiky, CNC strojů, 3D tisku a přesných zařízení. Zatímco krokové motory poskytují přesný, opakovatelný pohyb , jejich výkon, účinnost a životnost do značné míry závisí na příslušenství , které zvyšuje jejich funkčnost a přizpůsobivost. Od ovladačů a kodérů po převodovky a řešení chlazení je porozumění tomuto příslušenství životně důležité pro navrhování robustních a spolehlivých systémů.
ovladače krokových motorů a ovladače jsou páteří chodu motoru. Převádějí vstupní signály z ovladače nebo mikrokontroléru na přesné proudové impulsy, které pohánějí vinutí motoru. Mezi klíčové typy patří:
Ovladače pro mikrokrokování : Rozdělte každý celý krok na menší části pro hladký pohyb bez vibrací.
Pohony sekačky (konstantní proud) : Udržujte konzistentní točivý moment při různých rychlostech a zároveň omezujte tvorbu tepla.
Integrované nebo inteligentní ovladače : Nabízí zpětnou vazbu s uzavřenou smyčkou pro opravu chyb a zvýšenou přesnost.
Ovladače umožňují přesné ovládání rychlosti, zrychlení, točivého momentu a směru , což je činí nezbytnými pro jednoduché i složité aplikace krokových motorů.
Kodéry poskytují polohovou zpětnou vazbu systémům krokových motorů a převádějí motory s otevřenou smyčkou na systémy s uzavřenou smyčkou . Mezi výhody patří:
Detekce chyb : Zabraňuje zmeškaným krokům a posunu polohy.
Optimalizace točivého momentu : Upravuje proud v reálném čase podle požadavků na zatížení.
Vysoce přesné řízení : kritické pro robotiku, CNC stroje a lékařská zařízení.
Běžné typy kodérů jsou inkrementální kodéry , které sledují relativní pohyb, a absolutní kodéry , které poskytují přesné údaje o poloze.
Převodovky nebo převodovky upravují rychlost a točivý moment tak, aby odpovídaly požadavkům aplikace. Mezi typy patří:
Planetové převodovky : Vysoká hustota točivého momentu a kompaktní design pro robotické klouby a CNC osy.
Harmonické převodovky : Přesnost s nulovou vůlí ideální pro robotiku a lékařské vybavení.
Čelní a spirálové převodovky : Cenově efektivní řešení pro lehkou až střední zátěž.
Převodovky zlepšují schopnost manipulace s nákladem , snižují chyby kroků a umožňují pomalejší, kontrolovaný pohyb bez obětování účinnosti motoru.
Brzdy zvyšují bezpečnost a kontrolu zatížení , zejména ve vertikálních systémech nebo systémech s vysokou setrvačností. Mezi typy patří:
Elektromagnetické brzdy : Zapněte nebo uvolněte při použití síly, což umožňuje rychlé zastavení.
Brzdy s pružinou : Konstrukce odolná proti selhání, která udrží zátěž při výpadku napájení.
Třecí brzdy : Jednoduché mechanické řešení pro aplikace se střední zátěží.
Brzdy zajišťují nouzové zastavení, držení polohy a bezpečnost v automatizovaných systémech.
Spojky spojují hřídel motoru s poháněnými součástmi, jako jsou vodicí šrouby nebo ozubená kola, přičemž se vyrovnávají s nesouosostí a vibracemi . Běžné typy:
Flexibilní spojky : Absorbují úhlové, paralelní a axiální vychýlení.
Pevné spojky : Nabízejí přímý přenos točivého momentu pro dokonale vyrovnané hřídele.
Paprskové nebo spirálové spojky : Minimalizujte vůli při zachování přenosu točivého momentu.
Správné spojení snižuje opotřebení, vibrace a mechanické namáhání a prodlužuje životnost systému.
Bezpečná montáž zajišťuje stabilitu, vyrovnání a konzistentní provoz . Mezi komponenty patří:
Konzoly a příruby : Zajistěte pevné upevňovací body.
Svorky a šrouby : Zajistěte instalaci bez vibrací.
Držáky s izolací vibrací : Snižují hluk a mechanickou rezonanci.
Spolehlivá montáž zachovává přesný pohyb a zabraňuje ztrátě kroku a vychýlení ve vysokozatížených nebo vysokorychlostních aplikacích.
Krokové motory a drivery generují teplo při zatížení, takže chlazení je nezbytné. Možnosti zahrnují:
Chladiče : Odvádějí teplo z povrchu motoru nebo ovladače.
Chladicí ventilátory : Zajišťují nucené proudění vzduchu pro regulaci teploty.
Tepelné podložky a směsi : Zlepšují účinnost přenosu tepla.
Efektivní tepelný management zabraňuje přehřátí, ztrátě točivého momentu a degradaci izolace a prodlužuje životnost motoru.
Stabilní zdroj energie je pro Výkon krokového motoru . Mezi vlastnosti efektivních napájecích zdrojů patří:
Regulace napětí a proudu : Zajišťuje konzistentní točivý moment a rychlost.
Nadproudová ochrana : Zabraňuje poškození motoru nebo měniče.
Kompatibilita s ovladači : Odpovídající hodnocení zajišťuje optimální výkon.
Spínané napájecí zdroje jsou běžné kvůli účinnosti, zatímco lineární napájecí zdroje mohou být preferovány pro aplikace s nízkou hlučností.
Senzory a koncové spínače zvyšují bezpečnost, přesnost a automatizaci . Aplikace zahrnují:
Mechanické spínače : Detekují limity jízdy nebo výchozí polohy.
Optické senzory : Poskytují bezkontaktní detekci s vysokým rozlišením.
Magnetické senzory : Spolehlivě fungují v drsném, prašném nebo vlhkém prostředí.
Zabraňují přejíždění, kolizím a chybám polohování , což je zásadní v CNC, 3D tisku a robotických systémech.
Vysoce kvalitní kabeláž zajišťuje spolehlivý přenos napájení a signálu . Mezi úvahy patří:
Stíněné kabely : Snižují elektromagnetické rušení (EMI).
Odolné konektory : Udržujte stabilní spojení při vibracích.
Vhodné měřidlo drátu : Zvládne požadovaný proud bez přehřátí.
Správná kabeláž minimalizuje ztráty signálu, šum a neočekávané prostoje.
Kryty chrání krokové motory a příslušenství před riziky prostředí, jako je prach, vlhkost a nečistoty . Mezi výhody patří:
Zvýšená odolnost : Prodlužuje životnost motoru a ovladače.
Bezpečnost : Zabraňuje náhodnému kontaktu s pohyblivými součástmi.
Kontrola prostředí : Udržuje úroveň teploty a vlhkosti pro citlivé aplikace.
Kryty s krytím IP se běžně používají v průmyslových a venkovních instalacích.
Komplexní Systém krokového motoru nespoléhá pouze na samotný motor, ale také na ovladače, kodéry, převodovky, brzdy, spojky, montážní hardware, řešení chlazení, napájecí zdroje, senzory, kabeláž a kryty . Každé příslušenství zvyšuje výkon, přesnost, bezpečnost a odolnost a zajišťuje, že systém bude spolehlivě fungovat v širokém rozsahu podmínek. Výběr správné kombinace příslušenství umožňuje inženýrům maximalizovat účinnost, udržovat přesnost a prodlužovat provozní životnost systémů krokových motorů v různých průmyslových odvětvích.
Krokové motory jsou široce používány v automatizaci, robotice, CNC strojích, 3D tisku a lékařských zařízeních díky jejich přesnosti, spolehlivosti a opakovatelnému pohybu. však Provozní prostředí významně ovlivňuje výkon, účinnost a životnost krokových motorů. Pro inženýry a projektanty systémů je pro zajištění optimálního provozu, bezpečnosti a trvanlivosti zásadní pochopení ekologických aspektů.
Krokové motory generují během provozu teplo a okolní teplota může přímo ovlivnit výkon. Vysoké teploty mohou způsobit:
Snížený výkon točivého momentu
Přehřívání vinutí a ovladačů
Degradace izolace a kratší životnost motoru
Naopak extrémně nízké teploty mohou zvýšit viskozitu mazaných součástí a snížit citlivost. Mezi efektivní strategie tepelného managementu patří:
Správné větrání : Zajišťuje proudění vzduchu pro odvod tepla.
Chladiče a chladicí ventilátory : Snižte riziko přehřátí v uzavřených aplikacích nebo aplikacích s vysokým zatížením.
Teplotní motory : Výběr motorů navržených pro specifické tepelné prostředí.
Udržování teploty v provozních mezích zajišťuje stálý krouticí moment a spolehlivou přesnost kroku.
Vysoká vlhkost nebo vystavení vlhkosti může způsobit korozi, zkraty a porušení izolace krokových motorů. Vniknutí vody může vést k trvalému poškození motoru, zejména v průmyslovém nebo venkovním prostředí . Opatření ke zmírnění těchto rizik zahrnují:
Kryty s krytím IP : Chrání proti prachu a vniknutí vody (např. IP54, IP65).
Utěsněné motory : Motory s těsněním a těsněním zabraňují pronikání vlhkosti.
Konformní povlak : Chrání vinutí a elektronické součástky před vlhkostí a nečistotami.
Správné řízení vlhkosti zvyšuje spolehlivost motoru a provozní životnost.
Prach, kovové částice a další nečistoty mohou ovlivnit Krokové motory narušují chlazení, zvyšují tření nebo způsobují elektrické zkraty . Aplikace jako dřevoobráběcí stroje, 3D tisk a průmyslová automatizace často fungují v prašném prostředí. Ochranné strategie zahrnují:
Kryty a kryty : Chraňte motory a ovladače před úlomky.
Filtry a utěsněná pouzdra : Zabraňte vniknutí jemných částic do citlivých oblastí.
Pravidelná údržba : Čištění a kontrola k odstranění nahromaděného prachu.
Řízením vystavení kontaminantům si motory udržují konzistentní výkon a snižují požadavky na údržbu.
Krokové motory jsou citlivé na vibrace a mechanické otřesy , které mohou vést k:
Chybějící kroky a poziční chyby
Předčasné opotřebení ložisek a spojek
Poškození řidiče nebo motoru při opakovaném nárazu
Chcete-li tyto problémy zmírnit:
Držáky pro izolaci vibrací : Absorbují mechanické nárazy a zabraňují přenosu na motor.
Pevný montážní hardware : Zajišťuje stabilitu a zároveň snižuje chyby způsobené vibracemi.
Nárazové motory a měniče : Navrženy tak, aby vydržely nárazy v drsném průmyslovém prostředí.
Správné řízení vibrací zajišťuje přesnost, hladký chod a prodlouženou životnost motoru.
Krokové motory mohou být ovlivněny elektromagnetickým rušením z blízkých zařízení nebo systémů s vysokým výkonem. EMI může způsobit nepravidelný pohyb, vynechané kroky nebo poruchy ovladače . Ohledy na životní prostředí zahrnují:
Stíněné kabely : Snižují náchylnost k externímu EMI.
Správné uzemnění : Zajišťuje stabilní elektrický provoz.
Elektromagneticky kompatibilní kryty : Zabraňují rušení okolním zařízením.
Řízení EMI je rozhodující pro přesné aplikace, jako jsou lékařské přístroje, laboratorní přístroje a automatizovaná robotika.
Krokové motory pracující ve vysokých nadmořských výškách mohou mít sníženou účinnost chlazení kvůli řidšímu vzduchu , což ovlivňuje odvod tepla. Návrháři by měli zvážit:
Vylepšené chladicí mechanismy : Ventilátory nebo chladiče pro kompenzaci nižší hustoty vzduchu.
Snížení teploty : Úprava provozních limitů, aby se zabránilo přehřátí.
To zajišťuje spolehlivý výkon v horských, leteckých nebo vysokohorských průmyslových prostředích.
Vystavení chemikáliím, rozpouštědlům nebo korozivním plynům může poškodit krokové motory, zejména při chemickém zpracování, výrobě potravin nebo v laboratorním prostředí . Ochranná opatření zahrnují:
Materiály odolné proti korozi : Hřídele a pouzdra z nerezové oceli.
Ochranné nátěry : Epoxidové nebo smaltované nátěry na vinutí motoru.
Utěsněné kryty : Zabraňte vniknutí škodlivých chemikálií nebo výparů.
Správná chemická ochrana zajišťuje dlouhodobou spolehlivost a bezpečný provoz v náročných prostředích.
Ohledy na životní prostředí se vztahují také na postupy údržby :
Pravidelná kontrola : Detekuje první známky opotřebení, koroze nebo znečištění.
Senzory prostředí : Senzory teploty, vlhkosti nebo vibrací mohou spustit preventivní akce.
Preventivní mazání : Zajišťuje hladký chod ložisek a mechanických součástí za různých podmínek prostředí.
Monitorování faktorů prostředí snižuje neplánované prostoje a prodlužuje životnost krokového motoru.
Faktory prostředí, jako je teplota, vlhkost, prach, vibrace, EMI, nadmořská výška a vystavení chemikáliím, významně ovlivňují výkon a spolehlivost krokového motoru. Výběrem ekologicky hodnocených motorů, ochranných krytů, řešení chlazení, izolace vibrací a správné kabeláže mohou inženýři optimalizovat systémy krokových motorů pro bezpečný, efektivní a dlouhodobý provoz . Pochopení a řešení těchto ekologických aspektů je nezbytné pro udržení přesnosti, přesnosti a provozní efektivity v celé řadě průmyslových a komerčních aplikací.
Krokové motory jsou široce používány v automatizaci, robotice, CNC strojích a 3D tiskárnách kvůli jejich přesnosti, spolehlivosti a hospodárnosti . Krokové motory však mají jako každá elektromechanická součástka omezenou životnost. Pochopení faktorů, které ovlivňují jejich životnost, pomáhá při výběru správného motoru, optimalizaci výkonu a snižování nákladů na údržbu.
Životnost krokového motoru se obvykle měří v provozních hodinách před poruchou nebo degradací.
Průměrný rozsah: 10 000 až 20 000 hodin za normálních provozních podmínek.
Vysoce kvalitní krokové motory: Mohou vydržet 30 000 hodin nebo více , zejména pokud jsou spárovány se správnými ovladači a chlazením.
Krokové motory průmyslové třídy: Navrženy pro nepřetržitý provoz a 50 000 hodin . při pravidelné údržbě mohou překročit
Ložiska a hřídele jsou hlavními body opotřebení.
Špatné vyrovnání, nadměrné zatížení nebo vibrace urychlují opotřebení.
Nadměrný proud nebo špatné větrání vede k přehřátí.
Trvale vysoké teploty poškozují izolaci a snižují životnost motoru.
Prach, vlhkost a korozivní plyny mohou ovlivnit vnitřní součásti.
Motory v čistém, kontrolovaném prostředí vydrží mnohem déle.
Nesprávné nastavení ovladače, přepětí nebo časté cykly start-stop zvyšují stres.
Rezonance a vibrace mohou vést k předčasnému selhání.
Provoz v blízkosti maximální kapacity točivého momentu zkracuje životnost.
Nepřetržitý vysokorychlostní provoz klade zvýšené nároky na vinutí a ložiska.
Neobvyklý hluk nebo vibrace.
Ztráta kroků nebo snížená přesnost polohy.
Nadměrné teplo při běžné zátěži.
Postupný pokles točivého momentu.
Ke správě teploty použijte chladiče nebo ventilátory.
Zajistěte dobré proudění vzduchu v uzavřených aplikacích.
Přizpůsobte proud motoru jmenovitým specifikacím.
Použijte mikrokrokování ke snížení vibrací a mechanického namáhání.
Vyvarujte se nepřetržitého provozu motoru při maximálním jmenovitém momentu.
V případě potřeby použijte redukci převodovky nebo mechanickou podporu.
Zkontrolujte ložiska, hřídele a vyrovnání.
Udržujte motor bez prachu a nečistot.
Vyberte si motory od renomovaných výrobců pro lepší izolaci vinutí, přesná ložiska a robustní pouzdra.
Stejnosměrné motory: Obecně kratší životnost kvůli opotřebení kartáčů.
BLDC motory: Delší životnost než krokové motory, protože nemají kartáče a produkují méně tepla.
Servomotory: Často vydrží krokové motory, ale za vyšší cenu.
Životnost krokového motoru silně závisí na podmínkách použití, chlazení a řízení zátěže. Zatímco typický krokový motor vydrží 10 000 až 20 000 hodin , správný návrh, instalace a údržba mohou výrazně prodloužit jeho životnost. Vyvážením požadavků na výkon a provozních podmínek mohou inženýři zajistit dlouhodobou spolehlivost a hospodárnost v aplikacích od hobby projektů po průmyslovou automatizaci.
Krokové motory jsou známé svou odolností a nízkými nároky na údržbu , zejména ve srovnání s kartáčovanými stejnosměrnými motory. Jako každé elektromechanické zařízení však těží z rutinní péče , která zajišťuje hladký provoz, zabraňuje předčasnému selhání a maximalizuje životnost.
Tato příručka popisuje klíčové postupy údržby krokových motorů v průmyslových, komerčních a hobby aplikacích.
Udržujte povrch motoru bez prachu, nečistot a nečistot.
Zabraňte usazování oleje nebo mastnoty na krytu.
Pro bezpečné čištění používejte suchý hadřík nebo stlačený vzduch (ne tekuté čisticí prostředky).
Ložiska jsou jedním z nejčastějších bodů opotřebení.
Mnoho krokových motorů používá utěsněná ložiska , která nevyžadují údržbu.
Pro motory s provozuschopnými ložisky:
aplikujte výrobcem doporučené mazání . Pravidelně
Poslouchejte neobvyklé zvuky (skřípání nebo pískání), které indikují opotřebení ložisek.
Zkontrolujte kabely, konektory a svorky, zda nejsou opotřebené, uvolněné nebo zkorodované.
Ujistěte se, že izolace kabelů je neporušená, aby se zabránilo zkratům.
Utáhněte uvolněné svorky, aby nedošlo k jiskření a přehřátí.
Přehřátí je hlavní příčinou degradace motoru.
Zajistěte dostatečné proudění vzduchu kolem motoru.
Pravidelně čistěte větrací otvory, ventilátory nebo chladiče.
Zvažte externí chladicí ventilátory pro vysoce zatížené nebo uzavřené prostředí.
Nesouosost mezi hřídelí motoru a zátěží zvyšuje napětí.
Pravidelně kontrolujte hřídelové spojky, ozubených kol a řemenic . správné vyrovnání
Ujistěte se, že je motor bezpečně namontován s minimálními vibracemi.
Vyhněte se provozu motoru při maximální kapacitě točivého momentu nebo v její blízkosti po delší dobu.
Zkontrolujte mechanické zatížení (řemeny, šrouby nebo ozubená kola), zda nevykazuje tření nebo odpor.
Použijte redukci převodů nebo mechanickou podporu ke snížení namáhání motoru.
Ověřte, že nastavení proudu krokového ovladače odpovídá jmenovitému proudu motoru.
V případě potřeby aktualizujte firmware nebo software pro řízení pohybu.
Zkontrolujte známky elektrického šumu, zmeškaných kroků nebo rezonance a podle toho upravte nastavení.
Chraňte motor před vlhkostí, korozivními chemikáliemi a prachem.
Pro drsná prostředí používejte motory s krytím IP.
Vyhněte se náhlým změnám teploty , které způsobují kondenzaci uvnitř motoru.
měřte teplotu motoru, točivý moment a přesnost . V pravidelných intervalech
Porovnejte aktuální výkon s původními specifikacemi.
Vyměňte motor, pokud ztrátu točivého momentu nebo přesnosti kroku . zjistíte výraznou
| Úkol | Frekvence | Poznámky |
|---|---|---|
| Čištění povrchů | Měsíční | Použijte suchý hadřík nebo stlačený vzduch |
| Kontrola připojení | Čtvrtletní | Utáhněte svorky, zkontrolujte kabely |
| Kontrola ložisek | Každých 6–12 měsíců | Pouze pokud jsou ložiska provozuschopná |
| Čištění chladicího systému | Každých 6 měsíců | Zkontrolujte ventilátory/chladiče |
| Kontrola zarovnání | Každých 6 měsíců | Zkontrolujte spojky a zatížení |
| Testování výkonu | Každoročně | Kontrola točivého momentu a teploty |
Zatímco krokové motory vyžadují minimální údržbu , dodržování strukturované péče pomáhá zajistit spolehlivý výkon po mnoho let provozu. Nejdůležitějšími postupy jsou udržování motoru v čistotě, zabránění přehřátí, zajištění správného vyrovnání a kontrola elektrických připojení . Pomocí těchto kroků mohou uživatelé maximalizovat životnost svých krokových motorů a vyhnout se neočekávaným prostojům.
Krokové motory jsou vysoce spolehlivé, ale stejně jako všechna elektromechanická zařízení se mohou během provozu setkat s problémy. Efektivní řešení problémů zajišťuje rychlou identifikaci závad a přijímání nápravných opatření pro minimalizaci prostojů. Tato příručka vysvětluje běžné problémy, příčiny a řešení při řešení problémů s krokovým motorem.
Napájení není připojeno nebo je nedostatečné napětí.
Uvolněné nebo přerušené vedení.
Vadný ovladač nebo nesprávné nastavení ovladače.
Ovladač nevysílá krokové signály.
Ověřte jmenovité napětí a proud napájecího zdroje.
Zkontrolujte a utáhněte všechny kabelové spoje.
Zkontrolujte kompatibilitu a konfiguraci ovladače (mikrokrokování, proudové limity).
Ujistěte se, že ovladač vydává správné impulsy.
Nesprávné fázové zapojení (prohozené připojení cívky).
Špatně nakonfigurovaný ovladač nebo chybí signály kroků.
Mechanické zatížení je zaseknuté nebo příliš těžké.
Znovu zkontrolujte zapojení cívky motoru pomocí datového listu.
Vyzkoušejte motor bez zatížení, abyste potvrdili volný pohyb.
Upravte frekvenci krokových pulzů na doporučený rozsah.
Přetížený motor nebo nadměrný točivý moment.
Frekvence krokových pulsů je příliš vysoká.
Problémy s rezonancí nebo vibracemi.
Nedostatečný proud z řidiče.
Snižte zatížení nebo použijte motor s vyšším točivým momentem.
Snižte frekvenci krokování nebo použijte mikrokrokování.
Přidejte tlumiče nebo mechanické podpěry pro snížení rezonance.
Správně upravte aktuální nastavení ovladače.
Nadměrný proud dodávaný do motoru.
Špatné větrání nebo chlazení.
Trvalý chod při maximální zátěži.
Zkontrolujte a snižte proud ovladače na jmenovité hodnoty.
Zlepšete proudění vzduchu pomocí ventilátorů nebo chladičů.
Snižte pracovní cyklus nebo mechanické namáhání motoru.
Rezonance při specifických rychlostech.
Mechanická nesouosost spojky nebo hřídele.
Opotřebení ložisek nebo nedostatek mazání.
Pro hladký provoz použijte mikrokrokování.
Upravte rampy zrychlení a zpomalení.
Zkontrolujte ložiska a spojky, zda nejsou opotřebené nebo nesouosé.
Náhlé zvýšení zátěže nebo překážka.
Nedostatečný točivý moment při provozních otáčkách.
Nesprávné nastavení zrychlení.
Odstraňte překážky a zkontrolujte mechanické zatížení.
Pracujte v rámci křivky moment-otáčky motoru.
Upravte pohybový profil pro použití plynulejších ramp zrychlení.
Spoje cívek obráceny.
Nesprávná konfigurace ovladače.
Prohoďte jeden pár drátů cívky v opačném směru.
Znovu zkontrolujte nastavení ovladače v ovládacím softwaru.
Spustila se ochrana proti nadproudu nebo přehřátí.
Zkrat v elektroinstalaci.
Nekompatibilní párování motor-driver.
Snižte nastavení limitu proudu.
Zkontrolujte kabeláž motoru, zda není zkratovaná nebo poškozená.
Ověřte kompatibilitu motoru a ovladače.
Multimetr → Zkontrolujte průchodnost cívek a napájecí napětí.
Osciloskop → Zkontrolujte krokové impulsy a signály řidiče.
Infračervený teploměr → Monitorujte teplotu motoru a řidiče.
Zkušební zatížení → Spusťte motor s nulovým nebo minimálním zatížením, abyste izolovali problémy.
Správně sladit specifikace motoru a ovladače.
Používejte správné chlazení a větrání.
Vyvarujte se provozu v blízkosti maximálního točivého momentu a limitů otáček.
Pravidelně kontrolujte kabeláž, ložiska a vyrovnání montáže.
Odstraňování problémů s krokovým motorem zahrnuje systematickou kontrolu elektrických, mechanických faktorů a faktorů řídicího systému . Většinu problémů lze vysledovat zpět k nesprávnému zapojení, nesprávnému nastavení ovladače, přehřívání nebo špatnému řízení zátěže . Dodržováním strukturovaných kroků pro odstraňování problémů a preventivních opatření můžete udržovat krokové motory na špičkovém výkonu a minimalizovat prostoje.
Krokový motor je druh elektromechanického zařízení, které převádí elektrické impulsy na přesné mechanické pohyby. Na rozdíl od konvenčních motorů se krokové motory otáčejí v diskrétních krocích , což umožňuje přesné řízení polohy, rychlosti a směru, aniž by bylo zapotřebí systémů zpětné vazby. Díky tomu jsou ideální pro aplikace, kde je zásadní přesnost a opakovatelnost .
Krokové motory jsou široce používány v automatizovaných strojích , kde je rozhodující přesné polohování.
CNC stroje (frézování, řezání, vrtání).
Roboti typu pick-and-place.
Dopravníkové systémy.
Textilní a balicí zařízení.
V robotice zajišťují krokové motory plynulé a kontrolované pohyby.
Robotická ramena pro montáž a kontrolu.
Mobilní roboty pro navigaci.
Kamerové a senzorové polohovací systémy.
Jedno z nejběžnějších moderních použití krokových motorů je ve 3D tiskárnách.
Ovládání pohybu os X, Y a Z.
Pohon extrudéru pro podávání filamentu.
Zajištění přesnosti tisku po vrstvách.
Krokové motory jsou často ukryty uvnitř běžných zařízení.
Tiskárny a skenery (podávání papíru, pohyb tiskové hlavy).
Kopírky.
Pevné disky a optické mechaniky (CD/DVD/Blu-ray).
Mechanismy zaostřování a zoomu objektivu fotoaparátu.
Krokové motory se nacházejí v různých automobilových řídicích systémech.
Přístrojové desky (rychloměr, otáčkoměr).
Ovládání škrticí klapky a EGR ventily.
Systémy HVAC (řízení proudění vzduchu a ventilace).
Polohovací systémy světlometů.
Díky přesnosti a spolehlivosti jsou krokové motory ideální pro lékařské přístroje.
Infuzní pumpy.
Analyzátory krve.
Lékařské zobrazovací zařízení.
Chirurgické roboty.
V letectví a obraně se krokové motory používají pro vysoce spolehlivý, opakovatelný pohyb.
Satelitní polohovací systémy.
Navádění a řízení střely.
Pohyb radarové antény.
Krokové motory také hrají roli v udržitelné energetice.
Solární sledovací systémy (nastavování panelů podle slunce).
Řízení sklonu lopatek větrné turbíny.
V chytrých zařízeních a domácí automatizaci přidávají krokové motory přesnost.
Chytré zámky.
Automatické závěsy a žaluzie.
Dohledové kamery (ovládání pan-tilt).
Krokový motor se používá všude tam, kde přesné řízení pohybu . je potřeba Od průmyslových strojů a robotiky po spotřební elektroniku a lékařská zařízení hrají krokové motory v moderní technologii klíčovou roli. Jejich schopnost poskytovat přesné, opakovatelné a nákladově efektivní polohování z nich dělá jeden z nejuniverzálnějších motorů, které jsou dnes k dispozici.
Zde je podrobný přehled 10 oblíbených čínských značek krokových motorů , uspořádaných s profily společností, hlavními produkty a jejich výhodami. Některé společnosti jsou dobře zdokumentovány v průmyslových zdrojích, zatímco jiné se objevují na seznamech nebo adresářích dodavatelů.
Profil společnosti : Založena 1994; prominentní jméno v oblasti řízení pohybu a inteligentních osvětlovacích systémů.
Hlavní produkty : Hybridní krokové motory , krokové ovladače, integrované systémy, motory s dutou hřídelí, krokové servomotory.
Výhody : Silný výzkum a vývoj, široká škála produktů, spolehlivý výkon, partnerství se Schneider Electric.
Profil společnosti : Společnost byla založena v roce 1997 (nebo 2003), specializuje se na produkty pro řízení pohybu.
Hlavní produkty : Krokové pohony, integrované motory, servopohony, regulátory pohybu.
Výhody : Vysoká přesnost, nákladově efektivní řešení, vynikající zákaznická podpora.
Profil společnosti : V provozu od roku 2011 s certifikací ISO9001 a CE.
Hlavní produkty : Hybridní, lineární, převodové, brzdové, s uzavřenou smyčkou a integrované krokové motory; řidiči.
Výhody : Přizpůsobení, shoda s mezinárodní kvalitou, odolná a efektivní konstrukce motoru.
Profil společnosti : Specializuje se na řízení pohybu pro CNC a automatizaci.
Hlavní produkty : 2-fázové, lineární, krokové motory s uzavřenou smyčkou, duté hřídele, integrované systémy motor-pohon.
Výhody : Přesná pohybová řešení, pokročilý výzkum a vývoj, pověst kvality.
Profil společnosti : Více než 20 let v sektoru CNC stepperů.
Hlavní produkty : 2- a 3-fázové hybridní, lineární, planetové převodovky, krokové motory s dutou hřídelí.
Výhody : Certifikace ISO 9001, spolehlivý a cenově dostupný, silný globální dosah.
Profil společnosti : Založena v roce 2007; klíčový hráč ve výrobě CNC motorů.
Hlavní produkty : 2- a 3-fázový hybrid, integrovaný motor-driver, systémy s uzavřenou smyčkou.
Výhody : Zaměřené na inovace, důvěryhodné mezinárodními klienty.
Profil společnosti : Známý pro výzkum a vývoj a pokročilou výrobu.
Hlavní produkty : Hybridní, lineární motory s uzavřenou smyčkou, varianty motorů s převodovkou.
Výhody : High-tech výroba, přesné zaměření, široká podpora aplikací.
Profil společnosti : Specialista na přenosová a pohybová řešení.
Hlavní produkty : Hybridní krokové motory , planetové převodovky.
Výhody : Silná technická integrace, robustní konstrukce, různé průmyslové aplikace.
Profil společnosti : Známý pro vysoce výkonné 2fázové motory v různých oblastech.
Hlavní produkty : Přizpůsobitelné 2-fázové krokové motory.
Výhody : Certifikace ISO, silný výzkum a vývoj, přizpůsobivé návrhy.
Profil společnosti : High-tech společnost pro řízení pohybu.
Hlavní produkty : 2-fázové krokové motory, ovladače, integrované systémy.
Výhody : Inovativní, kompaktní řešení, silný poprodejní servis.
| značky | Souhrn | Produkty a silné stránky |
|---|---|---|
| MOONS' Industries | Zavedené, řízené výzkumem a vývojem | Hybridní, duté, krokové servo; inovace a rozmanitost |
| Technologie Leadshine | Přesné ovládání pohybu | Pohony, integrované motory; cenově výhodný, přesný |
| Čchang-čou Jkongmotor | Přizpůsobitelné, certifikované | Široký rozsah motoru / měniče; efektivní, podpora |
| Fullingův motor | Zaměřeno na CNC, certifikováno ISO | Dutý hřídel, hybridní motory; rozpočet a kvalita |
| Hualq atd. (integrovaný STM) | Zaměření chytré automatizace | Integrované motory; efektivní, přesné, vlastní |
Výběr správného krokového motoru je zásadní pro zajištění spolehlivého výkonu, účinnosti a životnosti vašeho systému. Vzhledem k tomu, že krokové motory se dodávají v různých velikostech, jmenovitých točivých momentech a konfiguracích, nesprávný výběr může vést k přehřátí, přeskakování kroků nebo dokonce k selhání systému. Níže je uveden průvodce krok za krokem, který vám pomůže vybrat nejvhodnější krokový motor pro vaši aplikaci.
Před výběrem motoru jasně definujte:
Typ pohybu → Lineární nebo rotační.
Charakteristiky zatížení → Hmotnost, setrvačnost a odpor.
Požadavky na rychlost → Jak rychle musí motor zrychlit nebo běžet.
Potřeby přesnosti → Požadovaná přesnost a opakovatelnost.
Existují různé typy krokových motorů, z nichž každý je vhodný pro specifické úkoly:
Stepper s permanentním magnetem (PM) → Nízká cena, jednoduchý, používaný v základním polohování.
Krokovač s proměnnou reluktancí (VR) → Vysoká rychlost, nižší točivý moment, méně běžné.
Hybridní krokový motor → Kombinuje výhody PM a VR; nabízí vysoký točivý moment a přesnost (nejoblíbenější v průmyslovém použití).
Krokové motory jsou klasifikovány podle velikosti rámu NEMA (např. NEMA 8, 17, 23, 34).
NEMA 8–17 → Kompaktní velikost, vhodná pro malé 3D tiskárny, fotoaparáty a lékařské přístroje.
NEMA 23 → Střední, běžně používaný v CNC strojích a robotice.
NEMA 34 a vyšší → Větší krouticí moment, vhodný pro těžké stroje a automatizační systémy.
Točivý moment je nejdůležitějším faktorem při výběru motoru.
Přídržný moment → Schopnost udržet polohu při zastavení.
Provozní kroutící moment → Potřebný k překonání tření a setrvačnosti.
Detent Torque → Přirozená odolnost vůči pohybu bez napájení.
Tip: vždy vybírejte motor s minimálně o 30 % vyšším kroutícím momentem , než je váš vypočítaný požadavek. Pro zajištění spolehlivosti
Krokové motory mají křivku točivého momentu a rychlosti : točivý moment klesá při vyšších rychlostech.
Pro vysokorychlostní aplikace zvažte použití:
Ovladače pro vyšší napětí.
Redukce převodového stupně pro vyvážení točivého momentu a rychlosti.
Krokové systémy s uzavřenou smyčkou, které zabraňují zmeškaným krokům.
Ujistěte se, že jmenovité napětí a proud motoru odpovídá ovladači.
Microstepping drivery umožňují plynulejší pohyb a sníženou rezonanci.
Ovladače s uzavřenou smyčkou poskytují zpětnou vazbu a zabraňují ztrátě kroku.
Zvažte provozní prostředí:
Teplota → Ujistěte se, že motor zvládne očekávané úrovně tepla.
Vlhkost/Prach → Vyberte motory s ochranným krytem (IP).
Vibrace/Otřesy → Vyberte robustní provedení pro drsná průmyslová prostředí.
Pro jednoduchá, nízkonákladová zařízení → Použijte PM nebo malé hybridní steppery.
Pro přesné úkoly (CNC, robotika, lékařství) → Používejte hybridní steppery s vysokým točivým momentem nebo steppery s uzavřenou smyčkou.
Pro energeticky citlivé aplikace → Hledejte vysoce účinné motory.
| aplikace | krokových motorů |
|---|---|
| 3D tiskárny | NEMA 17 Hybridní stepper |
| CNC stroje | NEMA 23 / NEMA 34 Hybridní stepper |
| Robotika | Kompaktní NEMA 17 nebo NEMA 23 |
| Lékařská zařízení | Small PM nebo Hybrid Stepper |
| Průmyslová automatizace | Hybridní stepper NEMA 34+ s vysokým točivým momentem |
| Automobilové systémy | Vlastní hybridní stepper se zpětnou vazbou |
✔ Definujte požadavky na zatížení a krouticí moment.
✔ Vyberte správný typ krokování (PM, VR, Hybrid).
✔ Přizpůsobte velikost NEMA aplikaci.
✔ Zkontrolujte potřeby rychlosti a zrychlení.
✔ Zajistěte kompatibilitu ovladače a napájecího zdroje.
✔ Zvažte faktory prostředí.
✔ Vyvažte náklady s požadovaným výkonem.
Výběr správného Krokový motor vyžaduje vyvážení točivého momentu, rychlosti, velikosti, přesnosti a nákladů . Dobře sladěný motor zajišťuje hladký chod, dlouhou životnost a efektivitu ve vaší aplikaci. vždy zvažte elektrické i mechanické požadavky . Před konečným rozhodnutím
Ať už se chcete dozvědět více o různých typech motorů nebo máte zájem o prohlídku našeho centra průmyslové automatizace, jednoduše postupujte podle níže uvedených odkazů.
© COPYRIGHT 2025 CHANGZHOU JKONGMOTOR CO., LTD VŠECHNA PRÁVA VYHRAZENA.